2021
JEE Mains
MCQ
JEE Main 2021 (Online) 24th February Morning Shift
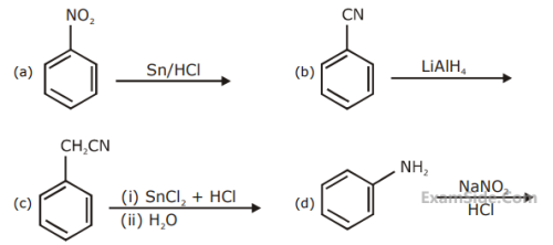
'A' and 'B' in the following reactions are :
A.
B.
C.
D.
2020
JEE Mains
MCQ
JEE Main 2020 (Online) 6th September Evening Slot
Which of the following compounds can be
prepared in good yield by Gabriel phthalimide
synthesis?
A.
B.
C.
D.
CH3—CH2—NHCH3
2020
JEE Mains
MCQ
JEE Main 2020 (Online) 6th September Morning Slot
The increasing order of pKb values of the
following compounds is :
A.
I < II < IV < III
B.
I < II < III < IV
C.
II < I < III < IV
D.
II < IV < III < I
2020
JEE Mains
MCQ
JEE Main 2020 (Online) 5th September Evening Slot
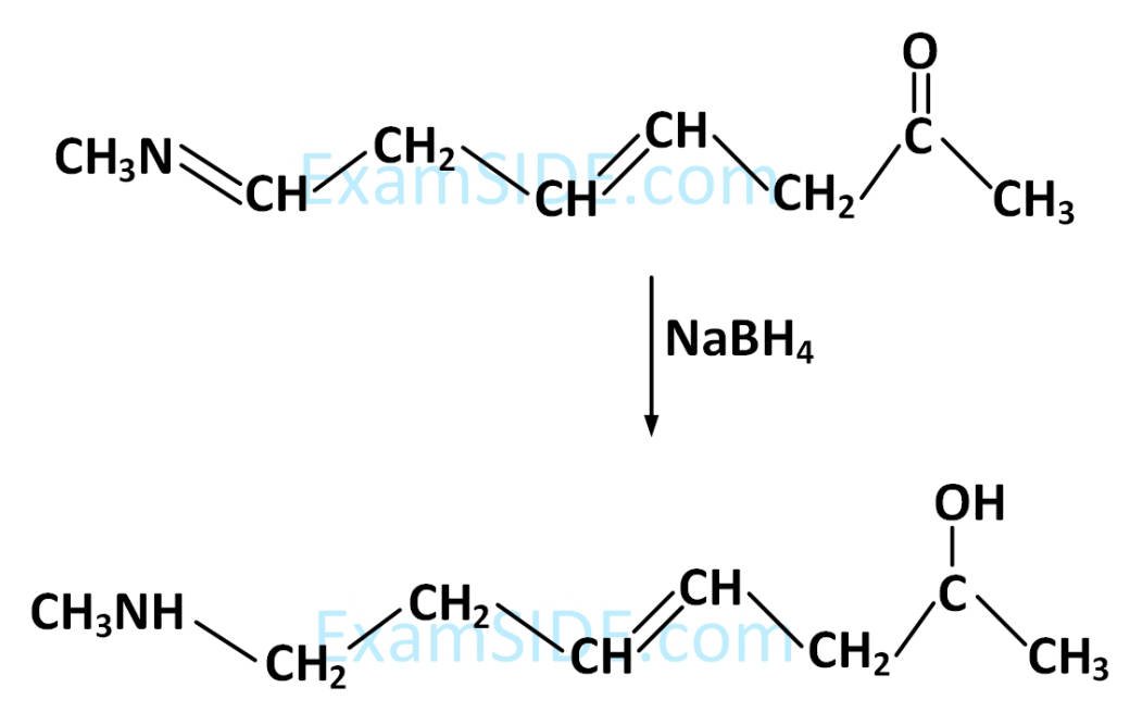
The final major product of the following reaction is :
A.
B.
C.
D.
2020
JEE Mains
MCQ
JEE Main 2020 (Online) 5th September Morning Slot
The most appropriate reagent for conversion of
C2H5CN into CH3CH2CH2NH2 is
A.
NaBH4
B.
CaH2
C.
Na(CN)BH3
D.
LiAlH4
2020
JEE Mains
MCQ
JEE Main 2020 (Online) 5th September Morning Slot
The increasing order of basicity of the following
compounds is :
A.
(A) < (B) < (C) < (D)
B.
(B) < (A) < (C) < (D)
C.
(D) < (A) < (B) < (C)
D.
(B) < (A) < (D) < (C)
2020
JEE Mains
MCQ
JEE Main 2020 (Online) 4th September Evening Slot
In the following reaction sequence, [C] is :


A.
B.
C.
D.
2020
JEE Mains
MCQ
JEE Main 2020 (Online) 3rd September Evening Slot
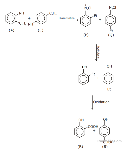
Three isomers A, B and C (mol. formula C8H11N) give the following results :

R has lower boiling point than S
A, B and C, respectively are :

R has lower boiling point than S
A, B and C, respectively are :
A.
B.


C.


D.


2020
JEE Mains
MCQ
JEE Main 2020 (Online) 3rd September Morning Slot
The Kjeldahl method of Nitrogen estimation fails for which of the following reaction products?
A.
(a), (c) and (d)
B.
(b) and (c)
C.
(c) and (d)
D.
(a) and (d)
2020
JEE Mains
MCQ
JEE Main 2020 (Online) 9th January Evening Slot
Consider the following reactions,

The compound [P] is :

The compound [P] is :
A.
B.
C.
D.
2020
JEE Mains
MCQ
JEE Main 2020 (Online) 9th January Evening Slot
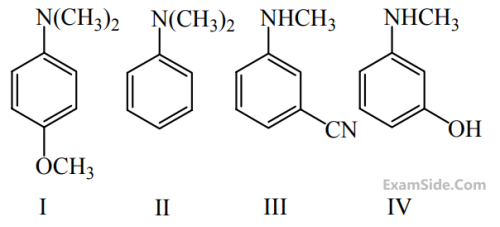
The decreasing order of basicity of the
following amines is :
A.
(III) > (II) > (I) > (IV)
B.
(I) > (III) > (IV) > (II)
C.
(III) > (I) > (II) > (IV)
D.
(II) > (III) > (IV) > (I)
2020
JEE Mains
MCQ
JEE Main 2020 (Online) 9th January Morning Slot
The major product Z obtained in the following
reaction scheme is :
A.
B.
C.
D.
2020
JEE Mains
MCQ
JEE Main 2020 (Online) 8th January Morning Slot
The major products A and B in the following reactions are :
A.
B.
C.
D.
2020
JEE Mains
MCQ
JEE Main 2020 (Online) 7th January Evening Slot
In the following reaction sequence,

The major product B is :

The major product B is :
A.
B.
C.
D.
2020
JEE Mains
MCQ
JEE Main 2020 (Online) 7th January Morning Slot
Consider the following reaction :

The product 'X' is used :

The product 'X' is used :
A.
as food grade colourant
B.
in acid base titration as an indicatior.
C.
in laboratory test for phenols
D.
in protein estimation as an alternative to ninhydrin.
2019
JEE Mains
MCQ
JEE Main 2019 (Online) 12th April Evening Slot
Benzene diazonium chloride on reaction with aniline in the presence of dilute hydrochloric acid gives :
A.
B.
C.
D.
2019
JEE Mains
MCQ
JEE Main 2019 (Online) 10th April Evening Slot
Which of the following is not a correct method of the preparation of benzylamine from cyanobenzene ?
A.
(i) SnCl2 + HCl(gas) (ii) NaBH4
B.
H2/Ni
C.
(i) LiAlH4 (ii) H3O+
D.
(i) HCl/H2O (ii) NaBH4
2019
JEE Mains
MCQ
JEE Main 2019 (Online) 10th April Morning Slot
Ethylamine (C2H5NH2) can be obtained from N-ethylphatalimide on treatment with :
A.
CaH2
B.
H2O
C.
NaBH4
D.
NH2NH2
2019
JEE Mains
MCQ
JEE Main 2019 (Online) 10th April Morning Slot
The major product of the following reaction is :


A.


B.


C.


D.
CH3CH = CH–CH2NH2
2019
JEE Mains
MCQ
JEE Main 2019 (Online) 9th April Evening Slot
The major products A and B for the following
reactions are, respectively:


A.


B.


C.


D.


2019
JEE Mains
MCQ
JEE Main 2019 (Online) 9th April Evening Slot
Hinsberg's reagent is :
A.
C6H5COCl
B.
C6H5SO2Cl
C.
SOCl2
D.
(COCl)2
2019
JEE Mains
MCQ
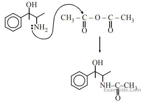
JEE Main 2019 (Online) 8th April Evening Slot
The major product obtained in the following
reaction is :
A.
B.
C.
D.
2019
JEE Mains
MCQ
JEE Main 2019 (Online) 8th April Evening Slot
The major product of the following reaction is:
A.
B.
C.
D.
2019
JEE Mains
MCQ
JEE Main 2019 (Online) 8th April Morning Slot
Which of the following amines can be prepared by Gabriel phthalimide reaction ?
A.
neo-pentylamine
B.
n-butylamine
C.
t-butylamine
D.
triethylamine
2019
JEE Mains
MCQ
JEE Main 2019 (Online) 8th April Morning Slot
Coupling of benzene diazonium chloride with 1 - naphthol in alkaline medium will give :
A.
B.
C.
D.
2019
JEE Mains
MCQ
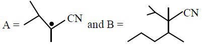
JEE Main 2019 (Online) 12th January Evening Slot
The increasing order of the reactivity of the following with LiAlH4 is
A.
A < B < C < D
B.
B < A < C < D
C.
B < A < D < C
D.
A < B < D < C
2019
JEE Mains
MCQ
JEE Main 2019 (Online) 12th January Evening Slot
The major product of the following reaction is –
A.
B.
C.
D.
2019
JEE Mains
MCQ
JEE Main 2019 (Online) 12th January Morning Slot
The increasing order of reactivity of the following compounds towards reaction with alkyl halides directly is
(A)
(B)
(C)
(D)
A.
A < B < C < D
B.
B < A < C < D
C.
B < A < D < C
D.
A < C < D < B
2019
JEE Mains
MCQ
JEE Main 2019 (Online) 11th January Evening Slot
A compound 'X' on treatment with Br2/NaOH, provided C3H9N, which gives positive carbylamine test. Compound 'X' is :
A.
CH3CH2CH2CONH2
B.
CH3CON(CH3)2
C.
CH3CH2COCH2NH
D.
CH3COCH2NHCH3
2019
JEE Mains
MCQ
JEE Main 2019 (Online) 11th January Morning Slot
The major product of the following reaction is :
A.
B.
C.
D.
2019
JEE Mains
MCQ
JEE Main 2019 (Online) 10th January Evening Slot
An aromatic compound 'A' having molecular formula C7H6O2 on treating with aqueous ammonia and heating forms compound 'B'. The compound 'B' on reaction with molecular bromine and potassium hydroxide provides compound 'C' having molecular formula C6H7N.. The structure of 'A' is
A.
B.
C.
D.
2019
JEE Mains
MCQ
JEE Main 2019 (Online) 10th January Evening Slot
The major product of the following reaction is :
A.
B.
C.
D.
2019
JEE Mains
MCQ
JEE Main 2019 (Online) 10th January Morning Slot
The major product formed in the reaction given below will be :
A.
B.
C.
D.
2019
JEE Mains
MCQ
JEE Main 2019 (Online) 9th January Evening Slot
The major product obtained in the following reaction is :
A.
B.
C.
D.
2019
JEE Mains
MCQ
JEE Main 2019 (Online) 9th January Evening Slot
The major product of the following reaction is :
A.
B.
C.
D.
2019
JEE Mains
MCQ
JEE Main 2019 (Online) 9th January Morning Slot
Arrange the following amines in the decreasing order of basicity :
A.
I > II > III
B.
III > I > II
C.
III > II > I
D.
I > III > II
2019
JEE Mains
MCQ
JEE Main 2019 (Online) 9th January Morning Slot
The major product of following reaction is :
A.
RCOOH
B.
RCONH2
C.
RCHO
D.
RCH2NH2
2018
JEE Mains
MCQ
JEE Main 2018 (Online) 16th April Morning Slot
Products A and B formed in the following reactions are respectively :
A.
B.
C.
D.
2018
JEE Mains
MCQ
JEE Main 2018 (Offline)
The increasing order of basicity of the following compounds is :
A.
(d) < (b) < (a) < (c)
B.
(a) < (b) < (c) < (d)
C.
(b) < (a) < (c) < (d)
D.
(b) < (a) < (d) < (c)
2018
JEE Mains
MCQ
JEE Main 2018 (Online) 15th April Evening Slot
The increasing order of diazotisation of the following compounds is :
A.
(a) < (b) < (c) < (d)
B.
(a) < (d) < (b) < (c)
C.
(a) < (d) < (c) < (b)
D.
(d) < (c) < (b) < (a)
2018
JEE Mains
MCQ
JEE Main 2018 (Online) 15th April Morning Slot
Which of the following will not exist in zwitter ionic form at pH=7 ?
A.
B.
C.
D.
2018
JEE Mains
MCQ
JEE Main 2018 (Online) 15th April Morning Slot
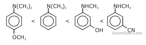
The increasing order of nitration of the following compounds is :
A.
(b) < (a) < (c) < (d)
B.
(a) < (b) < (c) < (d)
C.
(b) < (a) < (d) < (c)
D.
(a) < (b) < (d) < (c)
2017
JEE Mains
MCQ
JEE Main 2017 (Online) 9th April Morning Slot
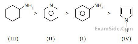
Among the following compounds, the increasing order of their basic strength is :
A.
(I) < (II) < (IV) < (III)
B.
(I) < (II) < (III) < (IV)
C.
(II) < (I) < (IV) < (III)
D.
(II) < (I) < (III) < (IV)
2017
JEE Mains
MCQ
JEE Main 2017 (Online) 8th April Morning Slot
The major product expected from the following reaction is :
A.
B.
C.
D.
2017
JEE Mains
MCQ
JEE Main 2017 (Offline)
Which of the following compounds will form significant amount of meta product during mono-nitration
reaction?
A.
B.
C.
D.
2016
JEE Mains
MCQ
JEE Main 2016 (Online) 10th April Morning Slot
The “N” which does not contribute to the basicity for the compound is :
A.
N 7
B.
N 9
C.
N 1
D.
N 3
2016
JEE Mains
MCQ
JEE Main 2016 (Online) 10th April Morning Slot
Fluorination of an aromatic ring is easily accomplished by treating a diazonium salt with HBF4. Which of the following conditions is correct about this reaction ?
A.
Only heat
B.
NaNO2/Cu
C.
Cu2O/H2O
D.
NaF/Cu
2016
JEE Mains
MCQ
JEE Main 2016 (Online) 9th April Morning Slot
The test to distinguish primary, secondary and tertiary amines is :
A.
Carbylamine reaction
B.
C6H5SO2Cl
C.
Sandmeyer’s reaction
D.
Mustard oil test
2016
JEE Mains
MCQ
JEE Main 2016 (Offline)
In the Hofmann bromamide degradation reaction, the number of moles of NaOH and Br2 used per mole of
amine produced are:
A.
Four moles of NaOH and two moles of Br2.
B.
Two moles of NaOH and two moles of Br2
C.
Four moles of NaOH and one mole of Br2
D.
One mole of NaOH and one mole of Br2
2015
JEE Mains
MCQ
JEE Main 2015 (Offline)
In the reaction
The product $E$ is :
The product $E$ is :
A.
B.
C.
D.


















