2022
JEE Mains
MCQ
JEE Main 2022 (Online) 25th June Evening Shift
Which of the following ketone will NOT give enamine on treatment with secondary amines? [where t-Bu is $-$C(CH3)3]
A.
B.
C.
D.
2022
JEE Mains
MCQ
JEE Main 2022 (Online) 25th June Morning Shift
The reaction of
with bromine and KOH gives RNH2 as the end product. Which one of the following is the intermediate product formed in this reation?
A.
B.
R $-$ NH $-$ Br
C.
R $-$ N = C = O
D.
2022
JEE Mains
MCQ
JEE Main 2022 (Online) 24th June Evening Shift
The conversion of propan-1-ol to n-butylamine involves the sequential addition of reagents. The correct sequential order of reagents is
A.
(i) SOCl2 (ii) KCN (iii) H2/Ni, Na(Hg)/C2H5OH
B.
(i) HCl (ii) H2/Ni, Na(Hg)/C2H5OH
C.
(i) SOCl2 (ii) KCN (iii) CH3NH2
D.
(i) HCl (ii) CH3NH2
2022
JEE Mains
MCQ
JEE Main 2022 (Online) 24th June Morning Shift

The major product of the above reactions is :
A.
B.
C.
D.
2021
JEE Mains
MCQ
JEE Main 2021 (Online) 1st September Evening Shift
Identify A in the following reaction.
A.
B.
C.
D.
2021
JEE Mains
MCQ
JEE Main 2021 (Online) 1st September Evening Shift
Which one of the following gives the most stable Diazonium salt?
A.
CH3$-$CH2$-$CH2$-$NH2
B.
C.
D.
2021
JEE Mains
MCQ
JEE Main 2021 (Online) 31st August Evening Shift
The major products A and B formed in the following reaction sequence are :
A.
B.
C.
D.
2021
JEE Mains
MCQ
JEE Main 2021 (Online) 31st August Evening Shift
Identify correct A, B and C in the reaction sequence given below :


A.


B.


C.


D.


2021
JEE Mains
MCQ
JEE Main 2021 (Online) 31st August Morning Shift
The major products A and B in the following set of reactions are :
A.
B.
C.
D.
2021
JEE Mains
MCQ
JEE Main 2021 (Online) 27th August Evening Shift
Which one of the following is the major product of the given reaction?


A.
B.
C.
D.
2021
JEE Mains
MCQ
JEE Main 2021 (Online) 27th August Evening Shift
The correct structures of A and B formed in the following reactions are :
A.
B.
C.
D.
2021
JEE Mains
MCQ
JEE Main 2021 (Online) 27th August Morning Shift
The major product of the following reaction is :


A.
B.
C.
D.
2021
JEE Mains
MCQ
JEE Main 2021 (Online) 27th August Morning Shift
Which of the following is not a correct statement for primary aliphatic amines?
A.
The intermolecular association in primary amines is less than the intermolecular association in secondary amines.
B.
Primary amines on treating with nitrous acid solution from corresponding alcohols except mythyl amine.
C.
Primary amines are less basic than the secondary amines.
D.
Primary amines can be prepared by the Gabriel phthalimide synthesis.
2021
JEE Mains
MCQ
JEE Main 2021 (Online) 26th August Evening Shift
Match List - I with List - II :

Choose the most appropriate match :

Choose the most appropriate match :
A.
a-ii, b-iv, c-iii, d-i
B.
a-iv, b-ii, c-iii, d-i
C.
a-ii, b-iii, c-iv, d-i
D.
a-iii, b-ii, c-i, d-iv
2021
JEE Mains
MCQ
JEE Main 2021 (Online) 26th August Evening Shift

The major product in the above reaction is :
A.
B.
C.
D.
2021
JEE Mains
MCQ
JEE Main 2021 (Online) 26th August Evening Shift

Consider the given reaction, identify 'X' and 'Y' :
A.
B.
C.
D.
2021
JEE Mains
MCQ
JEE Main 2021 (Online) 26th August Morning Shift
The major product formed in the following reaction is :


A.
B.
C.
D.
2021
JEE Mains
MCQ
JEE Main 2021 (Online) 27th July Evening Shift
$R - CN\mathrel{\mathop{\kern0pt\longrightarrow}
\limits_{(ii){H_2}O}^{(i)DIBAL - H}} R - Y$
Consider the above reaction and identify "Y"
Consider the above reaction and identify "Y"
A.
$-$CH2NH2
B.
$-$CONH2
C.
$-$CHO
D.
$-$COOH
2021
JEE Mains
MCQ
JEE Main 2021 (Online) 27th July Evening Shift
What is A in the following reaction?


A.
B.
C.
D.
2021
JEE Mains
MCQ
JEE Main 2021 (Online) 27th July Morning Shift
Given below are two statements :
Statement I : Aniline is less basic than acetamide.
Statement II : In aniline, the lone pair of electrons on nitrogen atom is delocalized over benzene ring due to resonance and hence less available to a proton.
Choose the most appropriate option;
Statement I : Aniline is less basic than acetamide.
Statement II : In aniline, the lone pair of electrons on nitrogen atom is delocalized over benzene ring due to resonance and hence less available to a proton.
Choose the most appropriate option;
A.
Statement I is true but statement II is false.
B.
Statement I is false but statement II is true.
C.
Both statement I and statement II are true.
D.
Both statement I and statement II are false.
2021
JEE Mains
MCQ
JEE Main 2021 (Online) 25th July Evening Shift

Consider the above reaction, the product "P" is :
A.
B.
C.
D.
2021
JEE Mains
MCQ
JEE Main 2021 (Online) 25th July Evening Shift
A reaction of benzonitrile with one equivalent CH3MgBr followed by hydrolysis produces a yellow liquid "P". The compound "P" will give positive _________.
A.
Iodoform test
B.
Schiff's test
C.
Ninhydrin's test
D.
Tollen's test
2021
JEE Mains
MCQ
JEE Main 2021 (Online) 25th July Evening Shift
What is the major product "P" of the following reaction?
A.
B.
C.
D.
2021
JEE Mains
MCQ
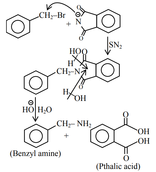
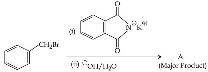
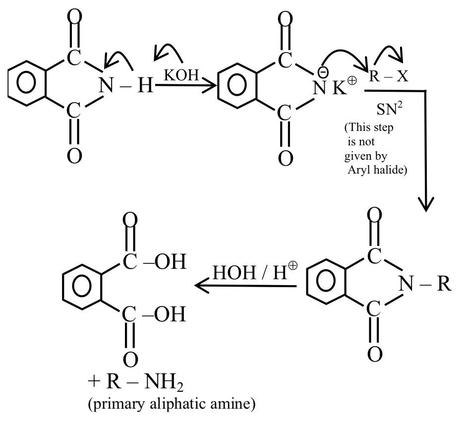
JEE Main 2021 (Online) 25th July Morning Shift
Given below are two statements, one is labelled as Assertion (A) and other is labelled as Reason (R).
Assertion (A) : Gabriel phthalimide synthesis cannot be used to prepare aromatic primary amines.
Reason (R) : Aryl halides do not undergo nucleophilic substitution reaction.
In the light of the above statements, choose the correct answer from the options given below :
Assertion (A) : Gabriel phthalimide synthesis cannot be used to prepare aromatic primary amines.
Reason (R) : Aryl halides do not undergo nucleophilic substitution reaction.
In the light of the above statements, choose the correct answer from the options given below :
A.
Both (A) and (R) true but (R) is not the correct explanation of (A)
B.
(A) is false but (R) is true.
C.
Both (A) and (R) true and (R) is correct explanation of (A).
D.
(A) is true but (R) is false.
2021
JEE Mains
MCQ
JEE Main 2021 (Online) 25th July Morning Shift
Which one of the products of the following reactions does not react with Hinsberg reagent to form sulphonamide?
A.
B.
C.
D.
2021
JEE Mains
MCQ
JEE Main 2021 (Online) 22th July Evening Shift

In the chemical reactions given above A and B respectively are :
A.
H3PO2 and CH3CH2Cl
B.
CH3CH2OH and H3PO2
C.
H3PO2 and CH3CH2OH
D.
CH3CH2Cl and H3PO2
2021
JEE Mains
MCQ
JEE Main 2021 (Online) 22th July Evening Shift
Which one of the following reactions does not occur?
A.
B.
C.
D.
2021
JEE Mains
MCQ
JEE Main 2021 (Online) 20th July Evening Shift

In the above reactions, product A and product B respectively are :
A.
B.
C.
D.
2021
JEE Mains
MCQ
JEE Main 2021 (Online) 20th July Evening Shift

Consider the above reaction, compound B is :
A.
B.
C.
D.
2021
JEE Mains
MCQ
JEE Main 2021 (Online) 20th July Morning Shift
The correct structure of Rhumann's Purple, the compound formed in the reaction of ninhydrin with proteins is :
A.
B.
C.
D.
2021
JEE Mains
MCQ
JEE Main 2021 (Online) 20th July Morning Shift
Compound A is converted to B on reaction with CHCl3 and KOH. The compound B is toxic and can be decomposed by C. A, B and C respectively are :
A.
primary amine, nitrile compound, conc. HCl
B.
secondary amine, isonitrile compound, conc. NaOH
C.
primary amine, isonitrile compound, conc. HCl
D.
secondary amine, nitrile compound, conc. NaOH
2021
JEE Mains
MCQ
JEE Main 2021 (Online) 18th March Evening Shift

Consider the given reaction, percentage yield of :
A.
B > C > A
B.
A > C > B
C.
C > A > B
D.
C > B > A
2021
JEE Mains
MCQ
JEE Main 2021 (Online) 18th March Evening Shift
In the reaction of hypobromite with amide, the carbonyl carbon is lost as :
A.
CO2
B.
CO
C.
HCO$_3^ - $
D.
CO$_3^{2 - }$
2021
JEE Mains
MCQ
JEE Main 2021 (Online) 18th March Evening Shift
An organic compound "A" on treatment with benzene sulphonyl chloride gives compound B. B is soluble in dil. NaOH solution. Compound A is :
A.
B.
C6H5 $-$ NHCH2CH3
C.
C6H5 $-$ N $-$ (CH3)2
D.
C6H5 $-$ CH2NHCH3
2021
JEE Mains
MCQ
JEE Main 2021 (Online) 18th March Morning Shift

Considering the above reaction, X and Y respectively are :
A.
B.
C.
D.
2021
JEE Mains
MCQ
JEE Main 2021 (Online) 17th March Evening Shift

In the above reaction, the structural formula of (A), ''X'' and ''Y'' respectively are :
A.
B.
C.
D.
2021
JEE Mains
MCQ
JEE Main 2021 (Online) 17th March Evening Shift
Primary, secondary and tertiary amines can be separated using:
A.
Chloroform and KOH
B.
Acetyl amide
C.
Benzene sulphonic acid
D.
para-Toluene sulphonyl chloride
2021
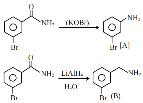
JEE Mains
MCQ
JEE Main 2021 (Online) 17th March Morning Shift
Hoffmann bromomide degradation of benzamide gives product A, which upon heating with CHCl3 and NaOH gives product B.
The structures of A and B are :
The structures of A and B are :
A.
B.
C.
D.
2021
JEE Mains
MCQ
JEE Main 2021 (Online) 16th March Evening Shift
Which of the following is least basic?
A.
${(C{H_3}CO)_2}\mathop N\limits^{..} H$
B.
$(C{H_3}CO)\mathop N\limits^{..} H{C_2}{H_5}$
C.
${({C_2}{H_5})_3}\mathop N\limits^{..} $
D.
${({C_2}{H_5})_2}\mathop N\limits^{..} H$
2021
JEE Mains
MCQ
JEE Main 2021 (Online) 16th March Evening Shift
Ammonolysis of Alkyl halides followed by the treatment with NaOH solution can be used to prepare primary, secondary and tertiary amines. The purpose of NaOH in the reaction is :
A.
to remove acidic impurities
B.
to remove basic impurities
C.
to activate NH3 used in the reaction
D.
to increase the reactivity of alkyl halide
2021
JEE Mains
MCQ
JEE Main 2021 (Online) 16th March Morning Shift

In the above chemical reaction, intermediate ''X'' and reagent/condition ''A'' are :
A.
B.
C.
D.
2021
JEE Mains
MCQ
JEE Main 2021 (Online) 16th March Morning Shift
Which of the following reactions DOES NOT involve Hoffmann bromamide degradation?
A.
B.
C.
D.
2021
JEE Mains
MCQ
JEE Main 2021 (Online) 26th February Evening Shift
A. Phenyl methanamine
B. N,N-Dimethylaniline
C. N-Methyl aniline
D. Benzenamine
Choose the correct order of basic nature of the above amines.
B. N,N-Dimethylaniline
C. N-Methyl aniline
D. Benzenamine
Choose the correct order of basic nature of the above amines.
A.
D > C > B > A
B.
A > C > B > D
C.
D > B > C > A
D.
A > B > C > D
2021
JEE Mains
MCQ
JEE Main 2021 (Online) 26th February Morning Shift
An amine on reaction with benzensulphonyl chloride produces a compound insoluble in alkaline solution. This amine can be prepared by ammonolysis of ethyl chloride. The correct structure of amine is :
A.
CH3CH2NH2
B.
CH3CH2CH2NHCH3
C.
CH3CH2CH2$\mathop N\limits^H $-CH2CH3
D.
2021
JEE Mains
MCQ
JEE Main 2021 (Online) 25th February Evening Shift

Correct statement about the given chemical reaction is :
A.
B.
Reaction is possible and compound (B) will be the major product.
C.
Reaction is possible and compound (A) will be major product.
D.
The reaction will form sulphonated product instead of nitration.
2021
JEE Mains
MCQ
JEE Main 2021 (Online) 25th February Evening Shift
Carbylamine test is used to detect the presence of primary amino group in an organic compound. Which of the following compound is formed when this test is performed with aniline?
A.
B.
C.
D.
2021
JEE Mains
MCQ
JEE Main 2021 (Online) 25th February Morning Shift
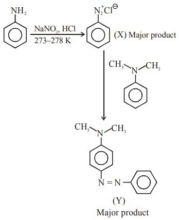
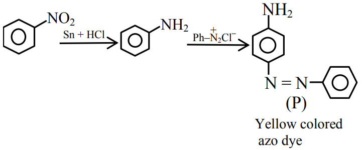
Which of the following reaction/s will not give p-aminoazobenzene?
A.
C only
B.
A only
C.
A and B
D.
B only
2021
JEE Mains
MCQ
JEE Main 2021 (Online) 24th February Evening Shift
What is the correct sequence of reagents used for converting nitrobenzene into m-dibromobenzene?
A.
$\stackrel{\mathrm{NaNO}_{2}}{\longrightarrow} / \stackrel{\mathrm{HCl}}{\longrightarrow} / \stackrel{\mathrm{KBr}}{\longrightarrow} / \stackrel{\mathrm{H}^{+}}{\longrightarrow}$
B.
$\stackrel{\mathrm{Sn} / \mathrm{HCl}}{\longrightarrow} / \stackrel{\mathrm{KBr}}{\longrightarrow} / \stackrel{\mathrm{Br}_{2}}{\longrightarrow} / \stackrel{\mathrm{H}^{+}}{\longrightarrow}$
C.
$\stackrel{\mathrm{B} \mathrm{B}_{2} / \mathrm{Fe}}{\longrightarrow} / \stackrel{\mathrm{Sn} / \mathrm{HCl}}{\longrightarrow} / \stackrel{\mathrm{NaNO}_{2} / \mathrm{HCl}}{\longrightarrow} / \stackrel{\mathrm{CuBr} / \mathrm{HBr}}{\longrightarrow}$
D.
$\stackrel{\mathrm{Sn} / \mathrm{HCl}}{\longrightarrow} / \stackrel{\mathrm{Br}_{2}}{\longrightarrow} / \stackrel{\mathrm{NaNO}_{2}}{\longrightarrow} / \stackrel{\mathrm{NaBr}}{\longrightarrow}$
2021
JEE Mains
MCQ
JEE Main 2021 (Online) 24th February Evening Shift
The diazonium salt of which of the following compounds will form a coloured dye on reaction with $\beta$-Naphthol in NaOH?
A.
B.
C.
D.
2021
JEE Mains
MCQ
JEE Main 2021 (Online) 24th February Morning Shift
In the following reaction the reason why meta-nitro product also formed is :
A.
–NH2 group is highly meta-directive
B.
–NO2 substitution always takes place at meta-position
C.
Formation of anilinium ion
D.
low temperature
















