Chemistry in Everyday Life

79 Questions
2024 JEE Mains MCQ
JEE Main 2024 (Online) 6th April Morning Shift

Match List I with List II

LIST I
(Compound)
LIST II
(Uses)
A. Idoform I. Fire extinguisher
B. Carbon tetrachloride II. Insecticide
C. CFC III. Antiseptic
D. DDT IV. Refrigerants

Choose the correct answer from the options given below:

A.
A-II, B-IV, C-I, D-III
B.
A-III, B-I, C-IV, D-II
C.
A-III, B-II, C-IV, D-I
D.
A-I, B-II, C-III, D-IV
2024 JEE Mains MCQ
JEE Main 2024 (Online) 1st February Evening Shift
Match List - I with List - II.

List I (Compound) List II (Use)
(A) Carbon tetrachloride (I) Paint remover
(B) Methylene chloride (II) Refrigerators and air conditioners
(C) DDT (III) Fire extinguisher
(D) Freons (IV) Non Biodegradable insecticide

Choose the correct answer from the options given below :
A.
(A)-(II), (B)-(III), (C)-(I), (D)-(IV)
B.
(A)-(III), (B)-(I), (C)-(IV), (D)-(II)
C.
(A)-(I), (B)-(II), (C)-(III), (D)-(IV)
D.
(A)-(IV), (B)-(III), (C)-(II), (D)-(I)
2023 JEE Mains MCQ
JEE Main 2023 (Online) 10th April Evening Shift

The reaction used for preparation of soap from fat is :

A.
an addition reaction
B.
alkaline hydrolysis reaction
C.
reduction reaction
D.
an oxidation reaction
2023 JEE Mains MCQ
JEE Main 2023 (Online) 8th April Evening Shift

The statement/s which are true about antagonists from the following is/are:

A. They bind to the receptor site.

B. Get transferred inside the cell for their action.

C. Inhibit the natural communication of the body.

D. Mimic the natural messenger.

Choose the correct answer from the options given below:

A.
B only
B.
A and B
C.
A and C
D.
A, C and D
2023 JEE Mains MCQ
JEE Main 2023 (Online) 8th April Morning Shift

Match List I with List II:

LIST I LIST II
A. Saccharin I. High potency sweetener
B. Aspartame II. First artificial sweetening agent
C. Alitame III. Stable at cooking temperature
D. Sucralose IV. Unstable at cooking temperature

Choose the correct answer from the options given below:

A.
A-II, B-III, C-IV, D-I
B.
A-II, B-IV, C-I, D-III
C.
A-II, B-IV, C-III, D-I
D.
A-IV, B-III, C-I, D-II
2023 JEE Mains MCQ
JEE Main 2023 (Online) 6th April Evening Shift

The group of chemicals used as pesticide is :

A.
Dieldrin, Sodium arsinite, Tetrachloroethene
B.
Aldrin, Sodium chlorate, Sodium arsinite
C.
DDT, Aldrin
D.
Sodium chlorate, DDT, PAN
2023 JEE Mains MCQ
JEE Main 2023 (Online) 6th April Evening Shift

Given below are two statements:

Statement I: Morphine is a narcotic analgesic. It helps in relieving pain without producing sleep.

Statement II: Morphine and its derivatives are obtained from opium poppy.

In the light of the above statements, choose the correct answer from the options given below

A.
Both Statement I and Statement II are true
B.
Statement I is true but Statement II is false
C.
Both Statement I and Statement II are false
D.
Statement I is false but Statement II is true
2023 JEE Mains MCQ
JEE Main 2023 (Online) 6th April Morning Shift

Match List I with List II

LIST I
Vitamin
LIST II
Deficiency disease
A. Vitamin A I. Beri-Beri
B. Thiamine II. Cheilosis
C. Ascorbic acid III. Xeropthalmia
D. Riboflavin IV. Scurvy

Choose the correct answer from the options given below:

A.
A-III, B-I, C-IV, D-II
B.
A-IV, B-I, C-III, D-II
C.
A-IV, B-II, C-III, D-I
D.
A-III, B-II, C-IV, D-I
2023 JEE Mains MCQ
JEE Main 2023 (Online) 1st February Morning Shift

Match List I with List II

List I List II
A. Tranquilizers I. Anti blood clotting
B. Aspirin II. Salvarsan
C. Antibiotic III. antidepressant drugs
D. Antiseptic IV. soframicine

Choose the correct answer from the options given below:

A.
(A) - II, (B) - I, (C) - III, (D) - IV
B.
(A) - IV, (B) - II, (C) - I, (D) - III
C.
(A) - III, (B) - I, (C) - II, (D) - IV
D.
(A) - II, (B) - IV, (C) - I, (D) - III
2023 JEE Mains MCQ
JEE Main 2023 (Online) 31st January Evening Shift
Which of the following compounds are not used as disinfectants ?

A. Chloroxylenol

B. Bithional

C. Veronal

D. Prontosil

E. Terpineol

Choose the correct answer from the options given below :
A.
A, B
B.
$\mathrm{C}, \mathrm{D}$
C.
B, D, E
D.
$\mathrm{A}, \mathrm{B}, \mathrm{E}$
2023 JEE Mains MCQ
JEE Main 2023 (Online) 31st January Morning Shift

Which of the following artificial sweeteners has the highest sweetness value in comparison to cane sugar ?

A.
Alitame
B.
Sucralose
C.
Saccharin
D.
Aspartame
2023 JEE Mains MCQ
JEE Main 2023 (Online) 30th January Evening Shift
Given below are two statements: One is labelled as Assertion A and the other is labelled as Reason $\mathbf{R}$.

Assertion A: Antihistamines do not affect the secretion of acid in stomach.

Reason $\mathbf{R}$ : Antiallergic and antacid drugs work on different receptors.

In the light of the above statements, choose the correct answer from the options given below:
A.
${\text { A }}$ is false but $R$ is true
B.
Both A and R are true but R is not the correct explanation of A
C.
Both A and R are true and R is the correct explanation of A
D.
A is true but R is false
2023 JEE Mains MCQ
JEE Main 2023 (Online) 30th January Morning Shift

Amongst the following compounds, which one is an antacid?

A.
Ranitidine
B.
Brompheniramine
C.
Terfenadine
D.
Meprobamate
2023 JEE Mains MCQ
JEE Main 2023 (Online) 29th January Evening Shift

A doctor prescribed the drug Equanil to a patient. The patient was likely to have symptoms of which disease?

A.
Stomach ulcers
B.
Depression and hypertension
C.
Anxiety and stress
D.
Hyperacidity
2023 JEE Mains MCQ
JEE Main 2023 (Online) 29th January Morning Shift

Match List I with List II.

List I List II
Antimicrobials Names
(A) Narrow Spectrum Antibiotic (I) Furacin
(B) Antiseptic (II) Sulphur dioxide
(C) Disinfectants (III) Penicillin G
(D) Broad spectrum antibiotic (IV) Chloramphenicol

Choose the correct answer from the options given below :

A.
(A) - III, (B) - I, (C) - II, (D) - IV
B.
(A) - II, (B) - I, (C) - IV, (D) - III
C.
(A) - I, (B) - II, (C) - IV, (D) - III
D.
(A) - III, (B) - I, (C) - IV, (D) - II
2023 JEE Mains MCQ
JEE Main 2023 (Online) 25th January Morning Shift

Which of the following statements is incorrect for antibiotics?

A.
An antibiotic should promote the growth or survival of microorganisms.
B.
An antibiotic must be a product of metabolism.
C.
An antibiotic should be effective in low concentrations.
D.
An antibiotic is a synthetic substance produced as a structural analogue of naturally occurring antibiotic.
2023 JEE Mains MCQ
JEE Main 2023 (Online) 24th January Evening Shift

Match List I with List II

List-I
Type
List-II
Name
A. Antifertility drug i) Norethindrone
B. Tranquilizer ii) Meprobomate
C. Antihistamine iii) Seldane
D. Antibiotic iv) Ampicillin

Choose the correct answer from the options given below :

A.
A-I, B-III, C-II, D-IV
B.
A-I, B-II, C-III, D-IV
C.
A-II, B-I, C-III, D-IV
D.
A-IV, B-III, C-II, D-I
2023 JEE Mains MCQ
JEE Main 2023 (Online) 24th January Morning Shift

Given below are two statements:

Statement I : Noradrenaline is a neurotransmitter.

Statement II : Low level of noradrenaline is not the cause of depression in human.

In the light of the above statements, choose the correct answer from the options given below

A.
Both Statement I and Statement II are incorrect
B.
Statement I is correct but Statement II is incorrect
C.
Both Statement I and Statement II are correct
D.
Statement I is incorrect but Statement II is correct
2022 JEE Mains MCQ
JEE Main 2022 (Online) 29th July Morning Shift

Which of the following compounds is an example of hypnotic drug?

A.
Seldane
B.
Amytal
C.
Aspartame
D.
Prontosil
2022 JEE Mains MCQ
JEE Main 2022 (Online) 28th July Evening Shift

Two statements in respect of drug-enzyme interaction are given below

Statement I : Action of an enzyme can be blocked only when an inhibitor blocks the active site of the enzyme.

Statement II : An inhibitor can form a strong covalent bond with the enzyme.

In the light of the above statements, choose the correct answer from the options given below

A.
Both Statement I and Statement II are true
B.
Both Statement I and Statement II are false
C.
Statement I is true but Statement II is false
D.
Statement I is false but Statement II is true
2022 JEE Mains MCQ
JEE Main 2022 (Online) 28th July Morning Shift

Statements about Enzyme Inhibitor Drugs are given below :

(A) There are Competitive and Non-competitive inhibitor drugs.

(B) These can bind at the active sites and allosteric sites.

(C) Competitive Drugs are allosteric site blocking drugs.

(D) Non-competitive Drugs are active site blocking drugs.

Choose the correct answer from the options given below:

A.
(A), (D) only
B.
(A), (C) only
C.
(A), (B) only
D.
(A), (B), (C) only
2022 JEE Mains MCQ
JEE Main 2022 (Online) 27th July Evening Shift

Which of the following enhances the lathering property of soap?

A.
Sodium stearate
B.
Sodium carbonate
C.
Sodium rosinate
D.
Trisodium phosphate
2022 JEE Mains MCQ
JEE Main 2022 (Online) 27th July Morning Shift

Match List I with List II.

List I List II
(A) JEE Main 2022 (Online) 27th July Morning Shift Chemistry - Chemistry in Everyday Life Question 25 English 1 (I) Anti-depressant
(B) JEE Main 2022 (Online) 27th July Morning Shift Chemistry - Chemistry in Everyday Life Question 25 English 2 (II) 550 times sweeter than cane sugar.
(C) JEE Main 2022 (Online) 27th July Morning Shift Chemistry - Chemistry in Everyday Life Question 25 English 3 (III) Narcotic analgesic
(D) JEE Main 2022 (Online) 27th July Morning Shift Chemistry - Chemistry in Everyday Life Question 25 English 4 (IV) Antiseptic

Choose the correct answer from the options given below:

A.
A-IV, B-III, C-II, D-I
B.
A-III, B-I, C-II, D-IV
C.
A-III, B-IV, C-I, D-II
D.
A-III, B-I, C-IV, D-II
2022 JEE Mains MCQ
JEE Main 2022 (Online) 26th July Morning Shift

Stearic acid and polyethylene glycol react to form which one of the following soap/s detergents ?

A.
Cationic detergent
B.
Soap
C.
Anionic detergent
D.
Non-ionic detergent
2022 JEE Mains MCQ
JEE Main 2022 (Online) 25th July Evening Shift

Some drugs bind to a site other than the active site of an enzyme. This site is known as

A.
non-active site
B.
allosteric site
C.
competitive site
D.
therapeutic site
2022 JEE Mains MCQ
JEE Main 2022 (Online) 25th July Morning Shift

Drugs used to bind to receptors, inhibiting is natural function and blocking a message are called:

A.
Agonists
B.
Antagonists
C.
Allosterists
D.
Anti histaminists
2022 JEE Mains MCQ
JEE Main 2022 (Online) 30th June Morning Shift

Which one of the following chemicals has not been used for the dry cleaning of clothes?

A.
Tetrachloroethene
B.
Liquid CO2
C.
Ethanol
D.
H2O2
2022 JEE Mains MCQ
JEE Main 2022 (Online) 29th June Evening Shift

The mixture of chloroxylenol and terpineol is an example of

A.
antiseptic
B.
pesticide
C.
disinfectant
D.
narcotic analgesic
2022 JEE Mains MCQ
JEE Main 2022 (Online) 29th June Morning Shift

Which of the following compound does not contain sulphur atom?

A.
Cimetidine
B.
Ranitidine
C.
Histamine
D.
Saccharin
2022 JEE Mains MCQ
JEE Main 2022 (Online) 28th June Evening Shift

The drug tegamet is :

A.
JEE Main 2022 (Online) 28th June Evening Shift Chemistry - Chemistry in Everyday Life Question 42 English Option 1
B.
JEE Main 2022 (Online) 28th June Evening Shift Chemistry - Chemistry in Everyday Life Question 42 English Option 2
C.
JEE Main 2022 (Online) 28th June Evening Shift Chemistry - Chemistry in Everyday Life Question 42 English Option 3
D.
JEE Main 2022 (Online) 28th June Evening Shift Chemistry - Chemistry in Everyday Life Question 42 English Option 4
2022 JEE Mains MCQ
JEE Main 2022 (Online) 28th June Morning Shift

Which amongst the following is not a pesticide?

A.
DDT
B.
Organophosphates
C.
Dieldrin
D.
Sodium arsenite
2022 JEE Mains MCQ
JEE Main 2022 (Online) 27th June Evening Shift

Match List-I with List-II

List-I List-II
(A) Antipyretic I. Reduces pain
(B) Analgesic II. Reduces stress
(C) Tranquilizer III. Reduces fever
(D) Antacid IV. Reduces acidity (stomach)

Choose the correct answer from the options given below :

A.
A-III, B-I, C-II, D-IV
B.
A-III, B-I, C-IV, D-II
C.
A-I, B-IV, C-II, D-III
D.
A-I, B-III, C-II, D-IV
2022 JEE Mains MCQ
JEE Main 2022 (Online) 27th June Morning Shift

Match List - I with List - II.

List - I List - II
(A) JEE Main 2022 (Online) 27th June Morning Shift Chemistry - Chemistry in Everyday Life Question 39 English 1 (I) Dishwashing powder
(B) JEE Main 2022 (Online) 27th June Morning Shift Chemistry - Chemistry in Everyday Life Question 39 English 2 (II) Toothpaste
(C) ${C_{17}}{H_{35}}CO{O^ - }N{a^ + } + N{a_2}C{O_3}$ + Rosinate (III) Laundry soap
(D) $C{H_3}{(C{H_2})_{16}}COO{(C{H_2}C{H_2}O)_n}C{H_2}C{H_2}OH$ (IV) Hair conditioner

Choose the correct answer from the options given below :

A.
(A) - (III), (B) - (II), (C) - (IV), (D) - (I)
B.
(A) - (IV), (B) - (II), (C) - (III), (D) - (I)
C.
(A) - (IV), (B) - (III), (C) - (II), (D) - (I)
D.
(A) - (III), (B) - (IV), (C) - (I), (D) - (II)
2022 JEE Mains MCQ
JEE Main 2022 (Online) 26th June Evening Shift

Which of the following is NOT an example of synthetic detergent?

A.
JEE Main 2022 (Online) 26th June Evening Shift Chemistry - Chemistry in Everyday Life Question 37 English Option 1
B.
$C{H_3} - {(C{H_2})_{16}} - CO{O^ - }N{a^ + }$
C.
JEE Main 2022 (Online) 26th June Evening Shift Chemistry - Chemistry in Everyday Life Question 37 English Option 3
D.
$C{H_3}{(C{H_2})_{16}}COO{(C{H_2}C{H_2}O)_n}C{H_2}C{H_2}OH$
2022 JEE Mains MCQ
JEE Main 2022 (Online) 26th June Morning Shift

A chemical which stimulates the secretion of pepsin is :

A.
Anti histamine
B.
Cimetidine
C.
Histamine
D.
Zantac
2022 JEE Mains MCQ
JEE Main 2022 (Online) 25th June Evening Shift

Match List I with List II

List - I List -II
A. Zymase I. Stomach
B. Diastase II. Yeast
C. Urease III. Malt
D. Pepsin IV. Soyabean

Choose the correct answer from the options given below :

A.
A-II, B-III, C-I, D-IV
B.
A-II, B-III, C-IV, D-I
C.
A-III, B-II, C-IV, D-I
D.
A-III, B-II, C-I, D-IV
2022 JEE Mains MCQ
JEE Main 2022 (Online) 25th June Evening Shift

An antiseptic dettol is a mixture of two compounds 'A' and 'B' where A has 6$\pi$ electrons and B has 2$\pi$ electrons. What is 'B'?

A.
Bithionol
B.
Terpineol
C.
Chloroxylenol
D.
Chloramphenicol
2022 JEE Mains MCQ
JEE Main 2022 (Online) 25th June Morning Shift

Which one of the following is an example of artificial sweetner?

A.
Bithional
B.
Alitame
C.
Salvarsan
D.
Lactose
2022 JEE Mains MCQ
JEE Main 2022 (Online) 24th June Evening Shift

The structure shown below is of which well-known drug molecule?

JEE Main 2022 (Online) 24th June Evening Shift Chemistry - Chemistry in Everyday Life Question 33 English

A.
Ranitidine
B.
Seldane
C.
Cimetidine
D.
Codeine
2022 JEE Mains MCQ
JEE Main 2022 (Online) 24th June Morning Shift

Which of the following is not a broad spectrum antibiotic?

A.
Vancomycin
B.
Ampicillin
C.
Ofloxacin
D.
Penicillin G
2021 JEE Mains MCQ
JEE Main 2021 (Online) 27th August Evening Shift
Which one of the following chemicals is responsible for the production of HCl in the stomach leading to irritation and pain?
A.
JEE Main 2021 (Online) 27th August Evening Shift Chemistry - Chemistry in Everyday Life Question 45 English Option 1
B.
JEE Main 2021 (Online) 27th August Evening Shift Chemistry - Chemistry in Everyday Life Question 45 English Option 2
C.
JEE Main 2021 (Online) 27th August Evening Shift Chemistry - Chemistry in Everyday Life Question 45 English Option 3
D.
JEE Main 2021 (Online) 27th August Evening Shift Chemistry - Chemistry in Everyday Life Question 45 English Option 4
2021 JEE Mains MCQ
JEE Main 2021 (Online) 27th August Morning Shift
JEE Main 2021 (Online) 27th August Morning Shift Chemistry - Chemistry in Everyday Life Question 46 English
The correct statement about (A), (B), (C) and (D) is :
A.
(A), (B) and (C) are narcotic analgesics
B.
(B), (C) and (D) are tranquillizers
C.
(A) and (D) are tranquillizers
D.
(B) and (C) are tranquillizers
2021 JEE Mains MCQ
JEE Main 2021 (Online) 26th August Evening Shift
JEE Main 2021 (Online) 26th August Evening Shift Chemistry - Chemistry in Everyday Life Question 47 English
The class of drug to which chlordiazepoxide with above structure belongs is :
A.
Antacid
B.
Analgesic
C.
Tranquilizer
D.
Antibiotic
2021 JEE Mains MCQ
JEE Main 2021 (Online) 27th July Evening Shift
Given below are two statements :

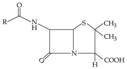
Statement I : Penicillin is a bacteriostatic type antibiotic.

Statement II : The general structure of Penicillin is :

JEE Main 2021 (Online) 27th July Evening Shift Chemistry - Chemistry in Everyday Life Question 48 English
Choose the correct option :
A.
Both statement I and statement II are false
B.
Statement I is incorrect but statement II is true
C.
Both statement I and statement II are true
D.
Statement I is correct but statement II is false
2021 JEE Mains MCQ
JEE Main 2021 (Online) 27th July Morning Shift
Match List - I with List - II :

List-I
(Drug)
List-II
(Class of Drug)
(a) Furacin (i) Antibiotic
(b) Arsphenamine (ii) Tranquilizers
(c) Dimetone (iii) Antiseptic
(d) Valium (iv) Synthetic antihistamines


Choose the most appropriate match :
A.
(a)-(i), (b)-(iii), (c)-(iv), (d)-(ii)
B.
(a)-(iii), (b)-(iv), (c)-(ii), (d)-(i)
C.
(a)-(ii), (b)-(i), (c)-(iii), (d)-(iv)
D.
(a)-(iii), (b)-(i), (c)-(iv), (d)-(ii)
2021 JEE Mains MCQ
JEE Main 2021 (Online) 25th July Morning Shift
Sodium stearate CH3(CH2)16COO$-$Na+ is an anionic surfactant which forms micelles in oil.

Choose the correct statement for it from the following :
A.
It forms spherical micelles with CH3(CH2)16 - group pointing towards the centre of sphere.
B.
It forms non-spherical micelles with -COO$-$ group pointing outwards on the surface.
C.
It forms spherical micelles with CH3(CH2)16 - group pointing outwards on the surface of sphere
D.
It forms non-spherical micelles with CH3(CH2)16 - group pointing towards the centre.
2021 JEE Mains MCQ
JEE Main 2021 (Online) 25th July Morning Shift
Which one of the following chemical agent is not being used for dry-cleaning of clothes?
A.
H2O2
B.
CCl4
C.
Liquid CO2
D.
Cl2C = CCl2
2021 JEE Mains MCQ
JEE Main 2021 (Online) 20th July Morning Shift
Green chemistry in day-to-day life is in the use of :
A.
Chlorine for bleaching of paper
B.
Large amount of water alone for washing clothes
C.
Tetrachloroethene for laundry
D.
Liquified CO2 for dry cleaning of clothes
2021 JEE Mains MCQ
JEE Main 2021 (Online) 18th March Evening Shift
Match List - I with List - II :

List - I
(Class of Chemicals)
List - II
(Example)
(a) Antifertility drug (i) Meprobamate
(b) Antibiotic (ii) Alitame
(c) Tranquilizer (iii) Norethindrone
(d) Artificial Sweetener (iv) Salvarsan


Choose the most appropriate match :
A.
(a)-(ii), (b)-(iii), (c)-(iv), (d)-(i)
B.
(a)-(iii), (b)-(iv), (c)-(i), (d)-(ii)
C.
(a)-(iv), (b)-(iii), (c)-(ii), (d)-(i)
D.
(a)-(ii), (b)-(iv), (c)-(i), (d)-(iii)
2021 JEE Mains MCQ
JEE Main 2021 (Online) 18th March Morning Shift
Match the list - I with list - II

List - I
(Class of Drug)
List - II
(Example)
(a) Antacid (i) Novestrol
(b) Artificial sweetener (ii) Cimetidine
(c) Antifertility (iii) Valium
(d) Tranquilizers (iv) Alitame
A.
(a) - (ii), (b) - (iv), (c) - (i), (d) - (iii)
B.
(a) - (iv), (b) - (i), (c) - (ii), (d) - (iii)
C.
(a) - (iv), (b) - (iii), (c) - (i), (d) - (ii)
D.
(a) - (ii), (b) - (iv), (c) - (iii), (d) - (i)