Aldehydes, Ketones and Carboxylic Acids
The number of optically active products obtained from the complete ozonolysis of the given compound is ______.

The structure of compound P is
The structure of the compound Q is
Match each of the compounds given in Column I with the reaction(s), that they can undergo, given in Column II.
| Column I | Column II | ||
|---|---|---|---|
| (A) | ![]() |
(P) | Nucleophilic substitution |
| (B) | ![]() |
(Q) | Elimination |
| (C) | ![]() |
(R) | Nucleophilic addition |
| (D) | ![]() |
(S) | Esterification with acetic anhydride |
| (T) | Dehydrogenation |
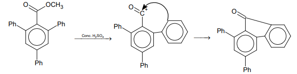
The structure of the carbonyl compound P is
The structures of the products Q and R, respectively, are
The structure of the product S is
In the following reaction sequence, the correct structure of E, F and G are :

The structure of the product I is :
The structure of compounds J and K, respectively, are:
The structure of product L is :
Cyclohexene on ozonolysis followed by reaction with zinc dust and water gives compound E. Compound E on further treatment with aqueous KOH yields compound F. Compound F is :
Match the compounds/ions in Column I with their properties/reactions in Column II. Indicate your answer by darkening the appropriate bubbles of the 4 $\times$ 4 matrix given in the ORS.
| Column I | Column II | ||
|---|---|---|---|
| (A) | $\mathrm{C_6H_5CHO}$ | (P) | gives precipitate with 2, 4-dinitrophenylhydrazine |
| (B) | $\mathrm{CH_3C\equiv CH}$ | (Q) | gives precipitate with $\mathrm{AgNO_3}$ |
| (C) | $\mathrm{CN^-}$ | (R) | is a nucleophile |
| (D) | $\mathrm{I^-}$ | (S) | is involved in cyanohydrin formation |
Statement 1 : p-Hydroxybenzoic acid has a lower boiling point than o-hydroxybenzoic acid.
Statement 2 : o-Hydroxybenzoic acid has intramolecular hydrogen bonding.
An organic compound $\mathbf{P}$ having molecular formula $\mathrm{C}_6 \mathrm{H}_6 \mathrm{O}_3$ gives ferric chloride test and does not have intramolecular hydrogen bond. The compound $\mathbf{P}$ reacts with 3 equivalents of $\mathrm{NH}_2 \mathrm{OH}$ to produce oxime $\mathbf{Q}$. Treatment of $\mathbf{P}$ with excess methyl iodide in the presence of $\mathrm{KOH}$ produces compound $\mathbf{R}$ as the major product. Reaction of $\mathbf{R}$ with excess iso-butylmagnesium bromide followed by treatment with $\mathrm{H}_3 \mathrm{O}^{+}$gives compound $\mathbf{S}$ as the major product.
The total number of methyl $\left(-\mathrm{CH}_3\right)$ group(s) in compound $\mathbf{S}$ is ___.
Explanation:
$\therefore$ Sum of oxygen atoms in $\mathrm{S}$ and $\mathrm{T}=1+1=2$
Explanation:
$\begin{aligned} & \text { Molecular mass of polymers }=(104 \times 500)+(118 \times 500)-18 \times 999 \\\\ & =52000+59000-17982=93018\end{aligned}$
Complete reaction of acetaldehyde with excess formaldehyde, upon heating with conc. $\mathrm{NaOH}$ solution, gives $\mathbf{P}$ and $\mathbf{Q}$. Compound $\mathbf{P}$ does not give Tollens' test, whereas $\mathbf{Q}$ on acidification gives positive Tollens' test. Treatment of $\mathbf{P}$ with excess cyclohexanone in the presence of catalytic amount of $p$-toluenesulfonic acid (PTSA) gives product $\mathbf{R}$.
Sum of the number of methylene groups $\left(-\mathrm{CH}_2-\right)$ and oxygen atoms in $\mathbf{R}$ is __________.
Explanation:
Number of $\mathrm{CH}_2$ groups in $\mathrm{R}=14$
Number of $\mathrm{O}$-atoms $=4$
Required Answer $=14+4=18$
Explanation:
Carbonyl compounds react with NH2OH to give oximes.
There are four sp2-carbon atoms, four sp2-nitrogen atoms and four sp2-oxygen atoms as shown in structures I and II.
Therefore, total number of atoms having sp2-hybridisation are twelve (12).

What is the degree of unsaturation of Q?
Explanation:

Number of rings = 4 + 1 = 5
$\pi $-bonds = 4 $ \times $ 3 + 1 = 13
Thus, the degree of unsaturation of Q is 18.
(Atomic weights in $g\,mo{l^{ - 1}}:H = 1,C = 12,$ $N = 14,O = 16,$ $Br = 80.$. The yield (%) corresponding to the product in each step is given in the parenthesis)
Explanation:
The amount of D formed in mol is ${{60} \over {100}} \times {{50} \over {100}} \times {{50} \over {100}} \times 10 = 1.5$ mol
Amount of D in grams is = 1.5 $\times$ 330 g = 495 g
Among the following the number of reactions that produces benzaldehyde is _________.

Explanation:


Therefore, the number of reactions leading to the formation of benzaldehyde is 4.
Explanation:
The total number of carboxylic acid groups is the product P is _________.

Explanation:
The reaction involved is

The number of carboxylic acid groups in the product is 2.
In the scheme given below, the total number of intra molecular aldol condensation products formed from Y is ____________.

Explanation:
There is only one product formed in intramolecular aldol condensation, which is explained as follows:

Amongst the following, the total number of compounds soluble in aqueous NaOH is _________.

Explanation:
Aromatic alcohols and carboxylic acids forms salt with NaOH, will dissolve in aqueous NaOH :

Benzylic alcohol is less acidic than water and hence does dissolve in aqueous NaOH.
The correct statement(s) about $\mathbf{P}, \mathbf{Q}, \mathbf{R}$, and $\mathbf{S}$ is(are) :


The correct statement(s) about $\mathbf{P}, \mathbf{Q}, \mathbf{R}$, and $\mathbf{S}$ is(are) :
Considering the reaction sequence given below, the correct statement(s) is(are)


The correct structure of

Consider Q, R and S as major products.

The option(s) with suitable combination of $P$ and $R,$ respectively, is (are)
Reagent(s) which can be used to bring about the following transformation is(are)

The correct statements about of the following reaction sequence is (are)
Cumene (C9H12) $\mathrel{\mathop{\kern0pt\longrightarrow}
\limits_{(ii)\,{H_3}{O^ + }}^{(i)\,{O_2}}} $ P $\mathrel{\mathop{\kern0pt\longrightarrow}
\limits_{}^{CHC{l_3}/NaOH}} $ Q (major) + R (minor)
Q $\mathrel{\mathop{\kern0pt\longrightarrow}
\limits_{PhC{H_2}Br}^{NaOH}} $ S
In the following reactions

Compound X is
In the following reactions

The major compound Y is
The major product of the following reaction is

After completion of the reactions (I and II), the organic compound(s) in the reaction mixtures is(are)

With reference to the scheme given, which of the given statement(s) about T, U, V and W is(are) correct?

Identify the binary mixtures that can be separated into individual compounds, by differential extraction, as shown in the given scheme.

Which of the following reactants on reaction with conc. NaOH followed by acidification gives the following lactone as the only product?
Two different oximes are formed.
Three different oximes are formed.
Two oximes are optically active.
All oximes are optically active.









































The conversion of compound B to lactone is shown below:
The conversion of compound C to lactone is shown below:
Step 2:
Step 3:
Note: Option B is not possible as it on reaction with conc. NaOH undergoes intermolecular cannizaro's reaction with possibility of forming pthalic acid as one of the products.
$ \text { Step 2: } $
$ \text { Step 3: } $
The oxime formed is optically inactive as there is plane of symmetry present in it.
An oxime will be obtained which shows two enantiomers based on the position of bulky group, $\mathrm{CH}_3 \mathrm{CH}_2$ with respect to the OH group attached to N atom of the oxime.
The two enantiomers are optically active as they lack a plane of symmetry and exist as $R$ and S isomers.