Aldehydes, Ketones and Carboxylic Acids
347 Questions
2021
JEE Mains
MCQ
JEE Main 2021 (Online) 24th February Evening Shift
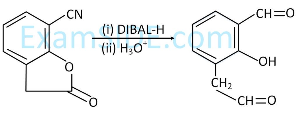
Which one of the following carbonyl compounds cannot be prepared by addition of water on an alkyne in the presence of HgSO4 and H2SO4?
A.
B.
C.
D.
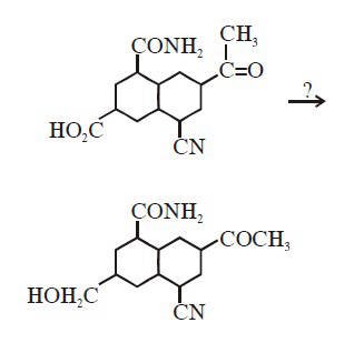
2021
JEE Mains
MCQ
JEE Main 2021 (Online) 24th February Evening Shift
Which of the following reagent is suitable for the preparation of the product in the above reaction?
A.
Red P + Cl2
B.
$N{H_2} - N{H_2}/{C_2}{H_5}\mathop O\limits^\Theta \mathop N\limits^ \oplus a$
C.
NaBH4
D.
Ni/H2
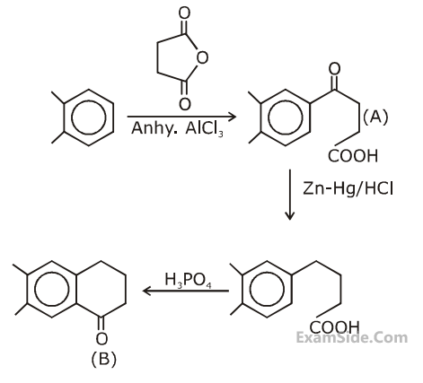
2021
JEE Mains
MCQ
JEE Main 2021 (Online) 24th February Evening Shift
Match List - I and List - II.
Choose the correct answer from the options given below :
| List-I | List-II | ||
|---|---|---|---|
| (a) | ![]() |
(i) | $\mathrm{Br}_{2} / \mathrm{NaOH}$ |
| (b) | ![]() |
(ii) | $\mathrm{H}_{2} / \mathrm{Pd}-\mathrm{BaSO}_{4}$ |
| (c) | ![]() |
(iii) | $\mathrm{Zn}(\mathrm{Hg}) / \mathrm{H}$ Conc. $\mathrm{HCl}$ |
| (d) | ![]() |
(iv) | $\mathrm{Cl}_{2}$ Red $\mathrm{P}, \mathrm{H}_{2} \mathrm{O}$ |
Choose the correct answer from the options given below :
A.
(a)-(ii), (b)-(iv), (c)-(i), (d)-(iii)
B.
(a)-(iii), (b)-(iv), (c)-(i), (d)-(ii)
C.
(a)-(iii), (b)-(i), (c)-(iv), (d)-(ii)
D.
(a)-(ii), (b)-(i), (c)-(iv), (d)-(iii)
2021
JEE Mains
MCQ
JEE Main 2021 (Online) 24th February Morning Shift
Which of the following reagent is used for the following reaction ?
$ \mathrm{CH}_3 \mathrm{CH}_2 \mathrm{CH}_3 \stackrel{?}{\longrightarrow} \mathrm{CH}_3 \mathrm{CH}_2 \mathrm{CHO} $
$ \mathrm{CH}_3 \mathrm{CH}_2 \mathrm{CH}_3 \stackrel{?}{\longrightarrow} \mathrm{CH}_3 \mathrm{CH}_2 \mathrm{CHO} $
A.
Molybdenum oxide
B.
Manganese acetate
C.
Copper at high temperature and pressure
D.
Potassium permanganate
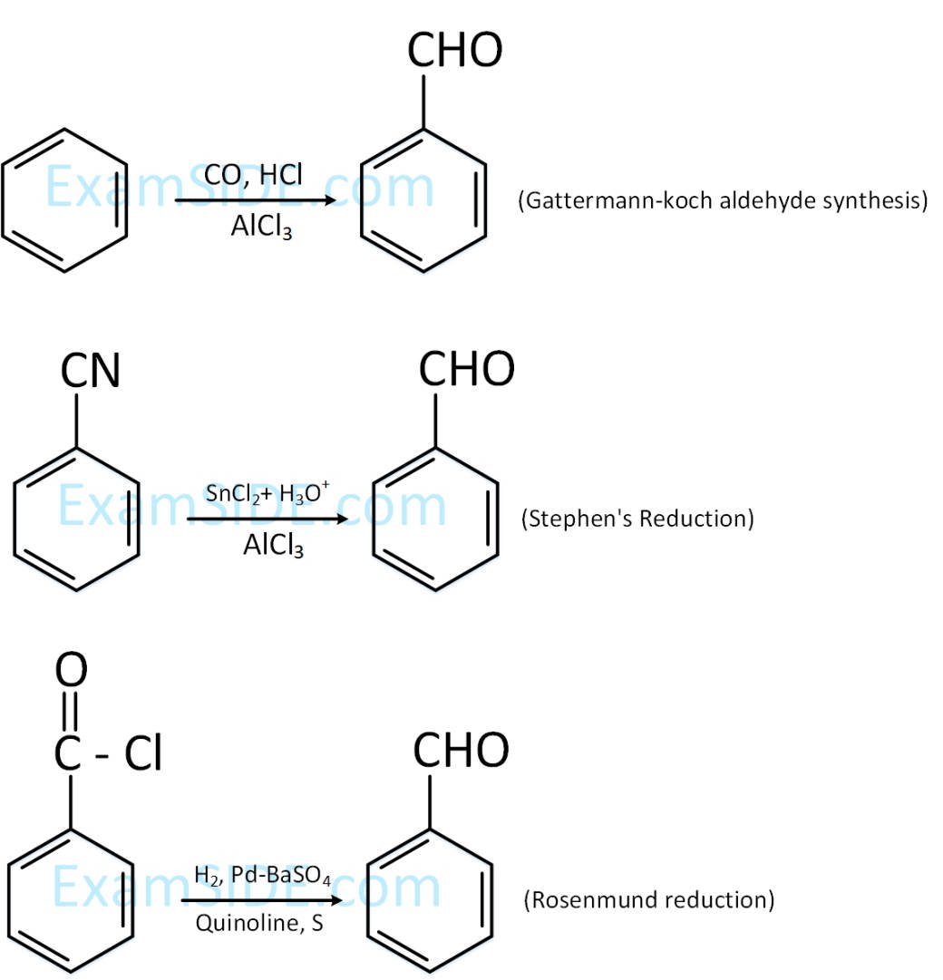
2020
JEE Mains
MCQ
JEE Main 2020 (Online) 6th September Evening Slot
The correct match between Item-I (starting
material) and Item-II (reagent) for the
preparation of benzaldehyde is :
| Item-I | Item-II |
|---|---|
| (I) Benzene | (P) HCl and SnCl2, H3O+ |
| (II) Benzonitrile | (Q) H2, Pd-BaSO4, S and quinoline |
| (III) Benzoyl Chloride | (R) CO, HCl and AlCl3 |
A.
(I) - (R), (II) - (P) and (III) - (Q)
B.
(I) - (P), (II) - (Q) and (III) - (R)
C.
(I) - (Q), (II) - (R) and (III) - (P)
D.
(I) - (R), (II) - (Q) and (III) - (P)
2020
JEE Mains
MCQ
JEE Main 2020 (Online) 6th September Morning Slot
The major products of the following reaction are :
A.
B.
C.
D.
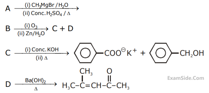
2020
JEE Mains
MCQ
JEE Main 2020 (Online) 6th September Morning Slot
Consider the following reactions
'A' is :
'A' is :
A.
B.
C.
D.
2020
JEE Mains
MCQ
JEE Main 2020 (Online) 5th September Morning Slot
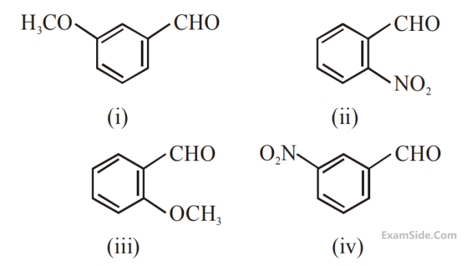
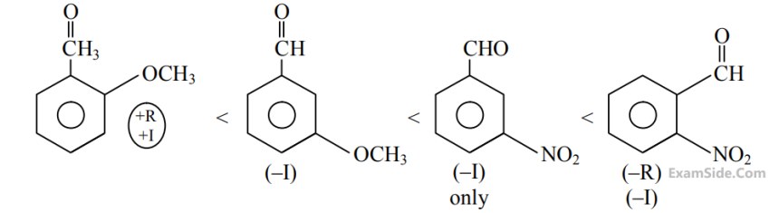
The increasing order of the acidity of the $\alpha $-hydrogen of the following compounds is :
A.
(C) < (A) < (B) < (D)
B.
(B) < (C) < (A) < (D)
C.
(A) < (C) < (D) < (B)
D.
(D) < (C) < (A) < (B)
2020
JEE Mains
MCQ
JEE Main 2020 (Online) 5th September Morning Slot
In the following reaction sequence the major
products A and B are :
A.
B.
C.
D.
2020
JEE Mains
MCQ
JEE Main 2020 (Online) 5th September Morning Slot
Which of the following derivatives of alcohols
is unstable in an aqueous base?
A.
RO—CMe3
B.
C.
D.
2020
JEE Mains
MCQ
JEE Main 2020 (Online) 4th September Evening Slot
The major product [C] of the following reaction
sequence will be :
A.
B.
C.
D.
2020
JEE Mains
MCQ
JEE Main 2020 (Online) 4th September Morning Slot
An organic compound (A) (molecular formula
C6H12O2) was hydrolysed with dil. H2SO4 to give
a carboxylic acid (B) and an alcohol (C). ‘C’
gives white turbidity immediately when treated
with anhydrous ZnCl2 and conc. HCl. The
organic compound (A) is :
A.
B.
C.
D.
2020
JEE Mains
MCQ
JEE Main 2020 (Online) 4th September Morning Slot
[P] on treatment with Br2/FeBr3 in CCl4
produced a single isomer C8H7O2Br while
heating [P] with sodalime gave toluene. The
compound [P] is
A.
B.
C.
D.
2020
JEE Mains
MCQ
JEE Main 2020 (Online) 3rd September Evening Slot
Consider the following molecules and
statements related to them :
(a) (B) is more likely to be crystalline than (A)
(b) (B) has higher boiling point than (A)
(c) (B) dissolves more readily than (A) in water
Identify the correct option from below :
(a) (B) is more likely to be crystalline than (A)
(b) (B) has higher boiling point than (A)
(c) (B) dissolves more readily than (A) in water
Identify the correct option from below :
A.
only (a) is true
B.
(a), (b) and (c) are true
C.
(b) and (c) are true
D.
(a) and (b) are true
2020
JEE Mains
MCQ
JEE Main 2020 (Online) 3rd September Evening Slot
The compound A in the following reaction is :


A.
B.
C.
D.
2020
JEE Mains
MCQ
JEE Main 2020 (Online) 3rd September Evening Slot
The increasing order of the reactivity of the
following compound in nucleophilic addition
reaction is :
Propanal, Benzaldehyde, Propanone, Butanone
Propanal, Benzaldehyde, Propanone, Butanone
A.
Butanone < Propanone < Benzaldehyde <
Propanal
B.
Benzaldehyde < Butanone < Propanone <
Propanal
C.
Propanal < Propanone < Butanone <
Benzaldehyde
D.
Benzaldehyde < Propanal < Propanone <
Butanone
2020
JEE Mains
MCQ
JEE Main 2020 (Online) 2nd September Evening Slot
Two compounds A and B with same molecular
formula (C3H6O) undergo Grignard’s reaction
with methylmagnesium bromide to give
products C and D. Products C and D show
following chemical tests.
C and D respectively are :
C and D respectively are :
A.
B.
C.
D.
2020
JEE Mains
MCQ
JEE Main 2020 (Online) 2nd September Evening Slot
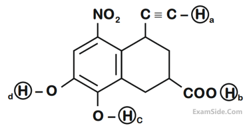
Arrange the following labelled hydrogens in
decreasing order of acidity :
A.
b > c > d > a
B.
b > a > c > d
C.
c > b > d > a
D.
c > b > a > d
2020
JEE Mains
MCQ
JEE Main 2020 (Online) 2nd September Morning Slot
The increasing order of the following
compounds towards HCN addition is :


A.
(iii) < (iv) < (ii) < (i)
B.
(i) < (iii) < (iv) < (ii)
C.
(iii) < (i) < (iv) < (ii)
D.
(iii) < (iv) < (i) < (ii)
2020
JEE Mains
MCQ
JEE Main 2020 (Online) 9th January Evening Slot
In the following reaction A is :
A.
B.
C.
D.
2020
JEE Mains
MCQ
JEE Main 2020 (Online) 9th January Morning Slot
Identify (A) in the following reaction sequence :
A.
B.
C.
D.
2020
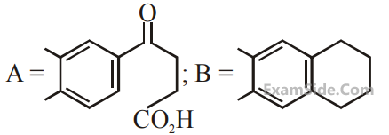
JEE Mains
MCQ
JEE Main 2020 (Online) 8th January Evening Slot
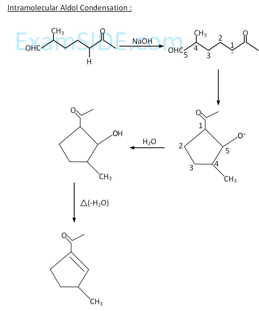
An unsaturated hydrocarbon X absorbs two
hydrogen molecules on catalytic hydrogenation and also gives following reaction :
B(3 - oxo - hexanedicarboxylic acid) X will be :-
B(3 - oxo - hexanedicarboxylic acid) X will be :-
A.
B.
C.
D.
2020
JEE Mains
MCQ
JEE Main 2020 (Online) 8th January Morning Slot
The most suitable reagent for the given conversion is :
A.
LiAlH4
B.
B2H6
C.
NaBH4
D.
H2/Pd
2020
JEE Mains
MCQ
JEE Main 2020 (Online) 8th January Morning Slot
The predominant intermolecular forces present in ethyl acetate, a liquid, are:
A.
Dipole-dipole and hydrogen bonding
B.
hydrogen bonding and London dispersion
C.
London dispersion, dipole-dipole and hydrogen bonding
D.
London dispersion and dipole-dipole
2020
JEE Mains
MCQ
JEE Main 2020 (Online) 7th January Morning Slot
What is the product of following reaction ?
A.
B.
C.
D.
2019
JEE Mains
MCQ
JEE Main 2019 (Online) 12th April Morning Slot
The major products of the following reaction are :


A.


B.


C.


D.


2019
JEE Mains
MCQ
JEE Main 2019 (Online) 12th April Morning Slot
The major product(s) obtained in the following reaction is/are :


A.


B.


C.


D.


2019
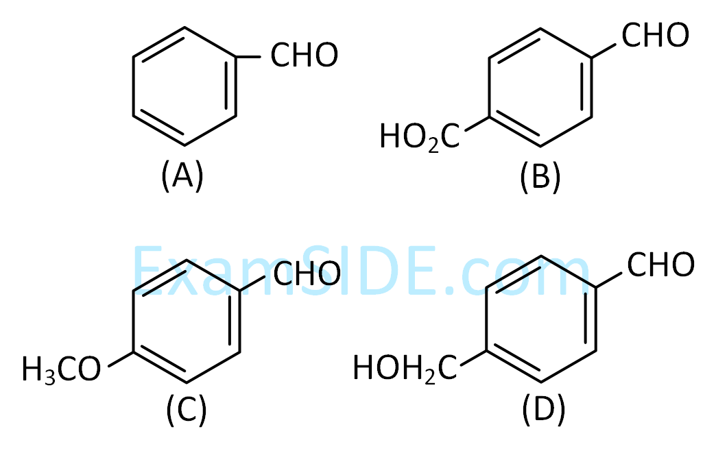
JEE Mains
MCQ
JEE Main 2019 (Online) 10th April Evening Slot
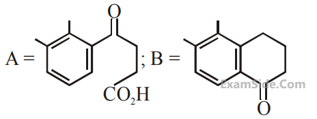
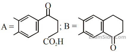
Compound A(C9H10O) shows positive iodoform test. Oxidation of A with KMnO4/KOH given acid
B(C8H6O4). Anhydride of B is used for the preparation of phenolphthalein. Compound A is:
A.


B.


C.


D.


2019
JEE Mains
MCQ
JEE Main 2019 (Online) 10th April Evening Slot
The major product 'Y' in the following reaction is :


A.


B.


C.


D.


2019
JEE Mains
MCQ
JEE Main 2019 (Online) 10th April Morning Slot
Major products of the following reaction are :


A.


B.


C.


D.
CH3OH and HCO2H
2019
JEE Mains
MCQ
JEE Main 2019 (Online) 9th April Evening Slot
p-Hydroxybenzophenone upon reaction with
bromine in carbon tetrachloride gives:
A.


B.


C.


D.


2019
JEE Mains
MCQ
JEE Main 2019 (Online) 9th April Evening Slot
The major product of the following reaction is:


A.
B.
C.
D.
2019
JEE Mains
MCQ
JEE Main 2019 (Online) 9th April Evening Slot
In the following reaction

Rate of the reaction is the highest for :

A.
Propanal as substrate and methanol in
stoichiometric amount.
B.
Acetone as substrate and methanol in
stoichiometric amount
C.
Propanal as substrate and methanol in
excess
D.
Acetone as substrate and methanol in excess
2019
JEE Mains
MCQ
JEE Main 2019 (Online) 9th April Morning Slot
The major product of the following reaction is :
A.
B.
C.
D.
2019
JEE Mains
MCQ
JEE Main 2019 (Online) 8th April Evening Slot
The major product obtained in the following
reaction is
A.
B.
C.
D.
2019
JEE Mains
MCQ
JEE Main 2019 (Online) 8th April Morning Slot
The major product of the following reaction is :
A.
B.
C.
D.
2019
JEE Mains
MCQ
JEE Main 2019 (Online) 8th April Morning Slot
The major product of the following reaction is :
A.
B.
C.
D.
2019
JEE Mains
MCQ
JEE Main 2019 (Online) 12th January Evening Slot
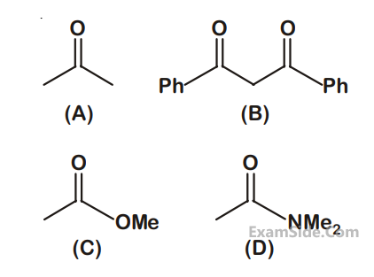
The aldehydes which will not form Grignard product with one equivalent Grignard reagents are -
A.
B and D
B.
C and D
C.
B, C and D
D.
B and C
2019
JEE Mains
MCQ
JEE Main 2019 (Online) 12th January Evening Slot
The major product of the following reaction is –
A.
B.
C.
D.
2019
JEE Mains
MCQ
JEE Main 2019 (Online) 12th January Morning Slot
In the following reaction :
Aldehyde + Alcohol $\buildrel {HCl} \over \longrightarrow $ Acetal
The best combination is
Aldehyde + Alcohol $\buildrel {HCl} \over \longrightarrow $ Acetal
| Aldehyde | Alcohol | ||
|---|---|---|---|
| HCHO | tBuOH | ||
| CH3CHO | MeOH |
The best combination is
A.
CH3CHO and MeOH
B.
HCHO and MeOH
C.
CH3CHO and tBuOH
D.
HCHO and tBuOH
2019
JEE Mains
MCQ
JEE Main 2019 (Online) 12th January Morning Slot
The major product of the following reaction is –
A.
B.
C.
D.
2019
JEE Mains
MCQ
JEE Main 2019 (Online) 12th January Morning Slot
In the following reaction, products A and B are –
A.
B.
C.
D.
2019
JEE Mains
MCQ
JEE Main 2019 (Online) 11th January Evening Slot
The major product obtained in the following conversion is
A.
B.
C.
D.
2019
JEE Mains
MCQ
JEE Main 2019 (Online) 11th January Evening Slot
The major product obtained in the following reaction is :
A.
B.
C.
D.
2019
JEE Mains
MCQ
JEE Main 2019 (Online) 11th January Morning Slot
The major product of the following reaction is :
A.
B.
C.
D.
2019
JEE Mains
MCQ
JEE Main 2019 (Online) 10th January Evening Slot
What will be the major product in the following mononitration reaction ?
A.


B.
C.
D.
2019
JEE Mains
MCQ
JEE Main 2019 (Online) 10th January Evening Slot
Which is the most suitable reagent for the following transformation ?
A.
alkaline KMnO4
B.
Tollen's reagent
C.
I2/NaOH
D.
CrO2Cl2/CS2
2019
JEE Mains
MCQ
JEE Main 2019 (Online) 10th January Evening Slot
The major product obtained in the following reaction is :
A.
B.
C.
D.
2019
JEE Mains
MCQ
JEE Main 2019 (Online) 10th January Morning Slot
The decreasing order of ease of alkaline hydrolysis for the following esters in
A.
III > II > IV > I
B.
IV > II > III > I
C.
III > II > I > IV
D.
II > III > I > IV
2019
JEE Mains
MCQ
JEE Main 2019 (Online) 10th January Morning Slot
Which dicarboxylic acid in presence of a dehydrating agent is least reactive to give an anhydride?
A.
B.
C.
D.



































