Aldehydes, Ketones and Carboxylic Acids
A molecule ("P") on treatment with acid undergoes rearrangement and gives ("Q"). ("Q") on ozonolysis followed by reflux under alkaline condition gives (" $R$ "). The structure of (" $R$ ") is given below.

The structure of ("P") is
CrO3 - H2SO4 produced [B]. Which of the following strucutres are not possible for [A]?
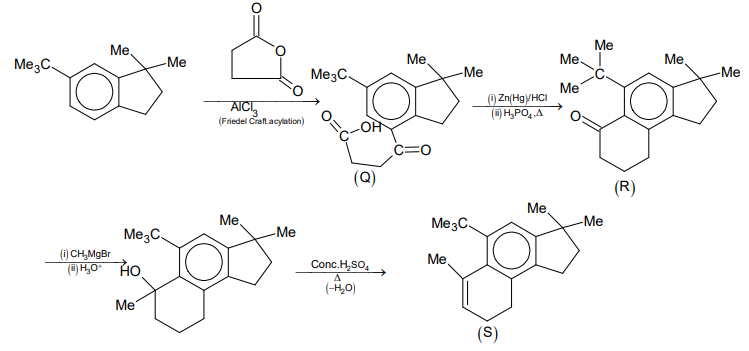
The correct statement(s) about $\mathbf{P}, \mathbf{Q}, \mathbf{R}$, and $\mathbf{S}$ is(are) :


The correct statement(s) about $\mathbf{P}, \mathbf{Q}, \mathbf{R}$, and $\mathbf{S}$ is(are) :
Considering the reaction sequence given below, the correct statement(s) is(are)


The correct structure of

Consider Q, R and S as major products.

The option(s) with suitable combination of $P$ and $R,$ respectively, is (are)
Reagent(s) which can be used to bring about the following transformation is(are)

The correct statements about of the following reaction sequence is (are)
Cumene (C9H12) $\mathrel{\mathop{\kern0pt\longrightarrow}
\limits_{(ii)\,{H_3}{O^ + }}^{(i)\,{O_2}}} $ P $\mathrel{\mathop{\kern0pt\longrightarrow}
\limits_{}^{CHC{l_3}/NaOH}} $ Q (major) + R (minor)
Q $\mathrel{\mathop{\kern0pt\longrightarrow}
\limits_{PhC{H_2}Br}^{NaOH}} $ S
With reference to the scheme given, which of the given statement(s) about T, U, V and W is(are) correct?

Identify the binary mixtures that can be separated into individual compounds, by differential extraction, as shown in the given scheme.








