2021
JEE Mains
MCQ
JEE Main 2021 (Online) 26th February Evening Shift
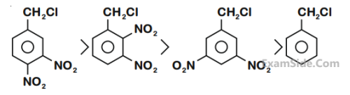
Match List - I with List - II.

Choose the correct answer from the options given below :

Choose the correct answer from the options given below :
A.
(a) $ \to $ (ii), (b) $ \to $ (iv), (c) $ \to $ (i), (d) $ \to $ (iii)
B.
(a) $ \to $ (iii), (b) $ \to $ (iv), (c) $ \to $ (i), (d) $ \to $ (ii)
C.
(a) $ \to $ (iii), (b) $ \to $ (i), (c) $ \to $ (iv), (d) $ \to $ (ii)
D.
(a) $ \to $ (ii), (b) $ \to $ (i), (c) $ \to $ (iv), (d) $ \to $ (iii)
2021
JEE Mains
MCQ
JEE Main 2021 (Online) 26th February Morning Shift
For the given reaction

What is 'A'?

What is 'A'?
A.
B.
C.
D.
2021
JEE Mains
MCQ
JEE Main 2021 (Online) 26th February Morning Shift
For the given reaction :

What is 'A'?

What is 'A'?
A.
B.
C.
D.
CH3CH2CH2NH2
2021
JEE Mains
MCQ
JEE Main 2021 (Online) 25th February Morning Shift
Identify A and B in the chemical reaction.
A.
B.
C.
D.
2021
JEE Mains
MCQ
JEE Main 2021 (Online) 24th February Morning Shift
What is the major product formed by HI on reaction with
A.
B.
C.
D.
2021
JEE Mains
MCQ
JEE Main 2021 (Online) 24th February Morning Shift
The product formed in the first step of the reaction of

with excess $\mathrm{Mg/Et_2O}$ ($\mathrm{Et=C_2H_5}$) is

with excess $\mathrm{Mg/Et_2O}$ ($\mathrm{Et=C_2H_5}$) is
A.
B.
C.
D.
2020
JEE Mains
MCQ
JEE Main 2020 (Online) 6th September Evening Slot
The increasing order of the boiling points of
the major products A, B and C of the following
reactions will be :
A.
A < C < B
B.
C < A < B
C.
B < C < A
D.
A < B < C
2020
JEE Mains
MCQ
JEE Main 2020 (Online) 5th September Evening Slot
The major product formed in the following reaction is :
CH3CH = CHCH(CH3)2 $\buildrel {HBr} \over \longrightarrow $
CH3CH = CHCH(CH3)2 $\buildrel {HBr} \over \longrightarrow $
A.
Br(CH2)3CH(CH3)2
B.
CH3CH(Br)CH2CH(CH3)2
C.
CH3CH2CH(Br)CH(CH3)2
D.
CH3CH2CH2C(Br)(CH3)2
2020
JEE Mains
MCQ
JEE Main 2020 (Online) 4th September Evening Slot
Among the following compounds, which one
has the shortest C – Cl bond?
A.
H3C - Cl
B.
C.
D.
2020
JEE Mains
MCQ
JEE Main 2020 (Online) 4th September Evening Slot
Which of the following compounds will form the
precipitate with aq. AgNO3 solution most
readily?
A.
B.
C.
D.
2020
JEE Mains
MCQ
JEE Main 2020 (Online) 4th September Morning Slot
The decreasing order of reactivity of the
following organic molecules towards AgNO3
solution is :
A.
(B) > (A) > (C) > (D)
B.
(A) > (B) > (C) > (D)
C.
(A) > (B) > (D) > (C)
D.
(C) > (D) > (A) > (B)
2020
JEE Mains
MCQ
JEE Main 2020 (Online) 3rd September Evening Slot
The decreasing order of reactivity of the
following compounds towards nucleophilic
substitution (SN2) is :
A.
(IV) > (II) > (III) > (I)
B.
(II) > (III) > (IV) > (I)
C.
(II) > (III) > (I) > (IV)
D.
(III) > (II) > (IV) > (I)
2020
JEE Mains
MCQ
JEE Main 2020 (Online) 3rd September Evening Slot
The major product in the following reaction is :
A.
B.
C.
D.
2020
JEE Mains
MCQ
JEE Main 2020 (Online) 3rd September Morning Slot
The mechanism of SN1 reaction is given as :

A student writes general characteristics based on the given mechanism as :
(a) The reaction is favoured by weak nucleophiles.
(b) R+ would be easily formed if the substituents are bulky.
(c) The reaction is accompanied by racemization.
(d) The reaction is favoured by non-polar solvents.

A student writes general characteristics based on the given mechanism as :
(a) The reaction is favoured by weak nucleophiles.
(b) R+ would be easily formed if the substituents are bulky.
(c) The reaction is accompanied by racemization.
(d) The reaction is favoured by non-polar solvents.
A.
(a) and (b)
B.
(a), (b) and (c)
C.
(a) and (c)
D.
(b) and (d)
2020
JEE Mains
MCQ
JEE Main 2020 (Online) 2nd September Evening Slot
The major product obtained from
E2 - elimination of 3-bromo-2-fluoropentane is
A.


B.


C.
D.


2020
JEE Mains
MCQ
JEE Main 2020 (Online) 2nd September Evening Slot
Consider the reaction sequence given below:

Which of the following statements is true?

Which of the following statements is true?
A.
Changing the concentration of base will
have no effect on reaction (1)
B.
Changing the concentration of base will
have no effect on reaction (2)
C.
Changing the base from OH- to -OR will
have no effect on reaction (2)
D.
Doubling the concentration of base will
double the rate of both the reactions
2020
JEE Mains
MCQ
JEE Main 2020 (Online) 2nd September Morning Slot
Which of the following compunds will show
retention in configuration on nucleophilic
substitution by OH– ion?
A.
B.
C.
D.
2020
JEE Mains
MCQ
JEE Main 2020 (Online) 9th January Evening Slot
Which of the following reactions will not
produce a racemic product?
A.
B.
C.
D.
2020
JEE Mains
MCQ
JEE Main 2020 (Online) 9th January Morning Slot
Which of these will produce the highest yield
in Friedel Crafts reaction?
A.
B.
C.
D.
2020
JEE Mains
MCQ
JEE Main 2020 (Online) 8th January Morning Slot
The decreasing order of reactivity towards dehydrohalogenation (E1) reaction of the following compounds is :
A.
B $>$ D $>$ A $>$ C
B.
D $>$ B $>$ C $>$ A
C.
B $>$ A $>$ D $>$ C
D.
B $>$ D $>$ C $>$ A
2020
JEE Mains
MCQ
JEE Main 2020 (Online) 7th January Evening Slot
Consider the following reactions :

Which of these reactions are possible ?

Which of these reactions are possible ?
A.
(b), (c) and (d)
B.
(a) and (b)
C.
(a) and (d)
D.
(b) and (d)
2020
JEE Mains
MCQ
JEE Main 2020 (Online) 7th January Evening Slot
For the following reactions

Ks and Ke, are respectively, the rate constants for substitution and elimination and $\mu = {{{k_s}} \over {{k_e}}}$ the correct options is

Ks and Ke, are respectively, the rate constants for substitution and elimination and $\mu = {{{k_s}} \over {{k_e}}}$ the correct options is
A.
${\mu _B} > {\mu _A}$ and Ke(A) > Ke(B)
B.
${\mu _A} > {\mu _B}$ and Ke(B) > Ke(A)
C.
${\mu _B} > {\mu _A}$ and Ke(B) > Ke(A)
D.
${\mu _A} > {\mu _B}$ and Ke(A) > Ke(B)
2020
JEE Mains
MCQ
JEE Main 2020 (Online) 7th January Morning Slot
1- methyl ethylene oxide when treated with an excess of HBr produces :
A.
B.
C.
D.
2019
JEE Mains
MCQ
JEE Main 2019 (Online) 12th April Evening Slot
Which one of the following is likely to give a precipitate with AgNO3 solution ?
A.
CHCl3
B.
(CH3)3CCl
C.
CCl4
D.
CH2=CH–Cl
2019
JEE Mains
MCQ
JEE Main 2019 (Online) 12th April Evening Slot
An 'Assertion' and a 'Reason' are given below. Choose the correct answer from the following options :
Assertion (A) : Vinyl halides do not undergo nucleophilic substitution easily.
Reason (R) : Even though the intermediate carbocation is stabilized by loosely held p-electrons, the cleavage is difficult because of strong bonding.
Assertion (A) : Vinyl halides do not undergo nucleophilic substitution easily.
Reason (R) : Even though the intermediate carbocation is stabilized by loosely held p-electrons, the cleavage is difficult because of strong bonding.
A.
Both (A) and (R) are correct statements but (R) is not the correct explanation of (A)
B.
Both (A) and (R) are correct statements and (R) is the correct explanation of (A)
C.
(A) is correct statement but (R) is a wrong statement
D.
Both (A) and (R) are wrong statements.
2019
JEE Mains
MCQ
JEE Main 2019 (Online) 12th April Evening Slot
Heating of 2-chloro-1-phenylbutane with EtOK/EtOH gives X as the major product. Reaction of X with
Hg(OAc)2/H2O followed by NaBH4 gives Y as the major product. Y is :
A.
B.
C.
D.
2019
JEE Mains
MCQ
JEE Main 2019 (Online) 10th April Evening Slot
The major product 'Y' in the following reactions is :


A.


B.


C.


D.


2019
JEE Mains
MCQ
JEE Main 2019 (Online) 10th April Evening Slot
The major product obtained in the given reaction is :


A.


B.


C.


D.


2019
JEE Mains
MCQ
JEE Main 2019 (Online) 10th April Morning Slot
Increasing rate of SN1 reaction in the following compounds is :


A.
(B) < (A) < (D) < (C)
B.
(A) < (B) < (C) < (D)
C.
(A) < (B) < (D) < (C)
D.
(B) < (A) < (C) < (D)
2019
JEE Mains
MCQ
JEE Main 2019 (Online) 10th April Morning Slot
The major product of the following reaction is :


A.


B.


C.


D.


2019
JEE Mains
MCQ
JEE Main 2019 (Online) 8th April Evening Slot
Which one of the following alkenes when
treated with HCl yields majorly an anti
Markovnikov product?
A.
Cl – CH = CH2
B.
F3C – CH = CH2
C.
CH3O – CH = CH2
D.
H2N – CH = CH2
2019
JEE Mains
MCQ
JEE Main 2019 (Online) 8th April Evening Slot
The major product in the following reaction is :
A.
B.
C.
D.
2019
JEE Mains
MCQ
JEE Main 2019 (Online) 8th April Evening Slot
The major product of the following reaction is:
A.
B.
C.
D.
2019
JEE Mains
MCQ
JEE Main 2019 (Online) 12th January Evening Slot
The major product in the following conversion is –
A.
B.
C.
D.
2019
JEE Mains
MCQ
JEE Main 2019 (Online) 11th January Evening Slot
Which of the following compounds will produce a precipitate with AgNO3 ?
A.
B.
C.
D.
2019
JEE Mains
MCQ
JEE Main 2019 (Online) 10th January Morning Slot
Which hydrogen in compound (E) is easily replaceable during bromination reaction in presence of light ?
A.
$\beta $ $-$ hydrogen
B.
$\alpha $ $-$ hydrogen
C.
$\gamma $ $-$ hydrogen
D.
$\delta $ $-$ hydrogen
2019
JEE Mains
MCQ
JEE Main 2019 (Online) 9th January Morning Slot
The major product of the following reaction is :
A.
B.
C.
D.
2019
JEE Mains
MCQ
JEE Main 2019 (Online) 9th January Morning Slot
The compounds A and B in the following reaction are, respectively :
A.
A = Benzyl alcohol, B = Benzyl cyanide
B.
A = Benzyl chloride, B = Benzyl cyanide
C.
A = Benzyl alcohol, B = Benzyl isocyanide
D.
A = Benzyl chloride, B = Benzyl isocyanide
2019
JEE Mains
MCQ
JEE Main 2019 (Online) 9th January Morning Slot
The major product of the following reaction is :
A.
B.
C.
D.
2018
JEE Mains
MCQ
JEE Main 2018 (Online) 16th April Morning Slot
The most polar compound among the following is :
A.
B.
C.
D.
2018
JEE Mains
MCQ
JEE Main 2018 (Online) 16th April Morning Slot
The major product of the following reaction is :
A.
B.
C.
D.
2018
JEE Mains
MCQ
JEE Main 2018 (Offline)
The major product of the following reaction is:
A.
B.
C.
D.
2017
JEE Mains
MCQ
JEE Main 2017 (Online) 9th April Morning Slot
In the following reaction sequence :
The compound I is :
The compound I is :
A.
B.
C.
D.
2017
JEE Mains
MCQ
JEE Main 2017 (Online) 8th April Morning Slot
The major product of the following reaction is :
A.
CH2 = CHCH2CH = CHCH3
B.
CH2 = CHCH = CHCH2CH3
C.
CH3CH = C = CHCH2CH3
D.
CH3CH = CH − CH = CHCH3
2017
JEE Mains
MCQ
JEE Main 2017 (Online) 8th April Morning Slot
The major product of the following reaction is :
A.
B.
C.
D.
2017
JEE Mains
MCQ
JEE Main 2017 (Online) 8th April Morning Slot
Which of the following compounds will not undergo Friedel Craft’s reaction with benzene ?
A.
B.
C.
D.
2017
JEE Mains
MCQ
JEE Main 2017 (Offline)
Which of the following, upon treatment with tert-BuONa followed by addition of bromine water, fails to
decolorize the colour of bromine?
A.
B.
C.
D.
2017
JEE Mains
MCQ
JEE Main 2017 (Offline)
3-Methyl-pent-2-ene on reaction with HBr in presence of peroxide forms an addition product. The number
of possible stereoisomers for the product is :
A.
Zero
B.
Two
C.
Four
D.
Six
2017
JEE Mains
MCQ
JEE Main 2017 (Offline)
The increasing order of the reactivity of the following halides for the SN1 reaction is :
A.
(II) < (I) < (III)
B.
(I) < (III) < (II)
C.
(II) < (III) < (I)
D.
(III) < (II) < (I)
2017
JEE Mains
MCQ
JEE Main 2017 (Offline)
The major product obtained in the following reaction is :
A.
C6H5CH = CHC6H5
B.
(+) - C6H5CH(Ot-Bu)CH2C6H5
C.
(-) - C6H5CH(Ot-Bu)CH2C6H5
D.
($ \pm $) - C6H5CH(Ot-Bu)CH2C6H5
















