CH $ \equiv $ CH, CH3–C $ \equiv $ CH and CH2 = CH2 is as follows
X is:
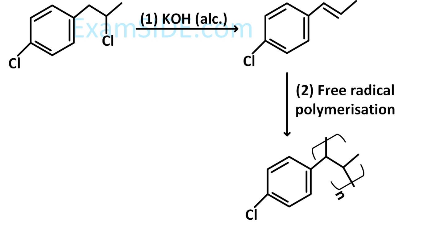
$\,\,\,\,\,\,\,\,\,\,\,\,\,\,\,\,\,\,\,\,\,\,$ ${C_6}{H_5}C{H_2}CH\left( {OH} \right)CH{\left( {C{H_3}} \right)_2}\buildrel {conc.{H_2}S{O_4}} \over \longrightarrow \,?$
CH3 - CH = CH - CH3 $\buildrel {{O_3}} \over \longrightarrow $ A $\mathrel{\mathop{\kern0pt\longrightarrow} \limits_{Zn}^{H{}_2O}} $ B
The compound B is
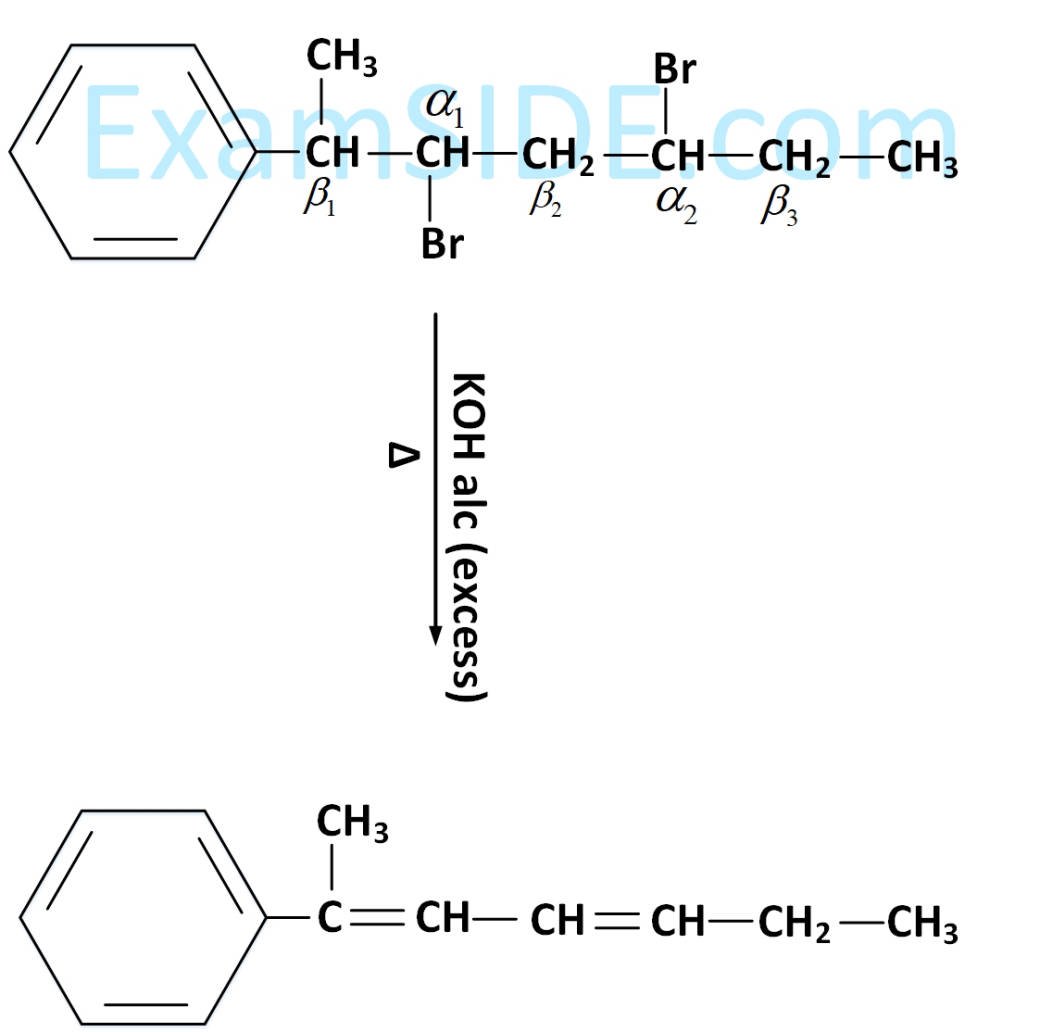
The alkene formed as a major product in the above elimination reaction is
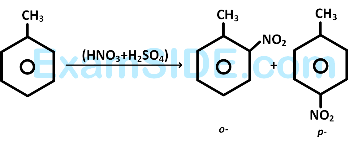
Consider the following reaction of benzene.
In compound $(Q)$, the percentage of oxygen is $\_\_\_\_$ %. (Nearest integer)
Explanation:

Molecular mass of compound $Q$ is $157$.
In $Q$, oxygen contributes mass $16$ (for one oxygen atom).
So, percentage of oxygen in $Q$ is $\% \text{ of oxygen in product ' } Q \text{ ' is }=\frac{16}{157} \times 100=10.19 \%$
Nearest integer $=10$%.
The cycloalkene $(\mathrm{X})$ on bromination consumes one mole of bromine per mole of $(\mathrm{X})$ and gives the product $(\mathrm{Y})$ in which $\mathrm{C}: \mathrm{Br}$ ratio is 3:1. The percentage of bromine in the product $(\mathrm{Y})$ is $\_\_\_\_$ %. (Nearest integer)
(Given : molar mass in $\mathrm{g} \mathrm{mol}^{-1} \mathrm{H}: 1, \mathrm{C}: 12, \mathrm{O}: 16, \mathrm{Br}: 80$ )
Explanation:
Bromination of a cycloalkene (one double bond) consumes 1 mole of $Br_2$ per mole of alkene, which means 2 bromine atoms add across the double bond.
So, product $(Y)$ is a dibromo compound.
Given in $(Y)$, the ratio $\mathrm{C}:\mathrm{Br} = 3:1$.
Let number of carbon atoms $= n$.
Number of bromine atoms $= 2$.
So,
$ \frac{n}{2} = \frac{3}{1} \;\Rightarrow\; n = 6 $
Hence $(Y)$ has formula:
$ \mathrm{C_6H_{10}Br_2} $
(since cyclohexene is $\mathrm{C_6H_{10}}$ and it adds $Br_2$)
Now molar mass of $(Y)$:
Carbon: $6 \times 12 = 72$
Hydrogen: $10 \times 1 = 10$
Bromine: $2 \times 80 = 160$
Total molar mass:
$ 72 + 10 + 160 = 242\ \mathrm{g\,mol^{-1}} $
Percentage of bromine:
$ \%Br = \frac{160}{242}\times 100 \approx 66.12\% $
Nearest integer $= \boxed{66\%}$.
Isomeric hydrocarbons → negative Baeyer’s test
(Molecular formula C9H12)
The total number of isomers from above with four different non-aliphatic substitution sites is -
Explanation:
Molecular formula of isomeric hydrocarbon $\to C_9H_{12}$ - Negative Baeyer's test
Baeyers test is given by compounds that contain readily active carbon-carbon double bond.
So, in a negative Baeyer's test, there is no readily active c = c.
Compounds that give negative Baeyer's test are alkanes and aromatic compounds.
C$_9$H$_{12}$ compound is not an alkane
(Alkane general formula C$_n$H$_{2n+2}$)
Hydrocarbons with the formula C$_9$H$_{12}$ are considered as aromatic and isomers of substituted benzene rings.
The possible isomers of C$_9$H$_{12}$ are

From these, total number of the isomers with four different non-aliphatic substitution sites are 2
![]() |
![]() |
![]() |
| Four positions (1,2,3,4) are different. So, it contain four different non-aliphatic substitution sites. | Four position (1,2,3,4) are different. So, it contain four different non-aliphatic substitution sites. | Four position (1,2,3,4) are not different. So, it contain four different non-aliphatic substitution sites. |
The sum of sigma (σ) and pi (π) bonds in Hex-1,3-dien-5-yne is ________.
Explanation:
The compound given is hex-1,3-dien-5-yne structure is

A doble bond has one $\pi$ bond and one sigma bond.
A triple bond has one sigma bond and two $\pi$ bonds.
For the one triple bond, number of $\pi$ bonds = 2
For one double bond, number of $\pi$ bond = 1
For two double bonds, number of $\pi$ bonds = 2
So, total number of $\pi$ bonds = 2 + 2 = 4
For sigma bonds, count all carbon - carbon bonds and carbon - hydrogen bonds except the $\pi$ bonds in double bonds and triple bond.

The total number of sigma bonds = 11
So, total number of bonds:
$\sigma=11$
$\pi=4$
Sum of $\sigma$ and $\pi$ bonds
$=11+4=15$
The compound with molecular formula $\mathrm{C}_6 \mathrm{H}_6$, which gives only one monobromo derivative and takes up four moles of hydrogen per mole for complete hydrogenation has _________ $\pi$ electrons.
Explanation:
Major product B of the following reaction has ________ $\pi$-bond.

Explanation:

Number of $\pi$ bonds in B = 5
The major product of the following reaction is P.
$\mathrm{CH}_3 \mathrm{C}\equiv\mathrm{C}-\mathrm{CH}_3$ $\xrightarrow[\substack{\text { (ii) dil. } \mathrm{KMnO}_4 \\ 273 \mathrm{~K}}]{\text { (i) } \mathrm{Na} \text { /liq. } \mathrm{NH}_3}$ 'P'
Number of oxygen atoms present in product '$\mathrm{P}$' is _______. (nearest integer)
Explanation:
Product is

Number of oxygen atoms = 2
The major products from the following reaction sequence are product A and product B.

The total sum of $\pi$ electrons in product A and product B are __________ (nearest integer)
Explanation:

Number of $\pi$ electron in A = 2
Number of $\pi$ electron in B = 6
Total Number of $\pi$ electron in (A) and (B) = 8

Consider the given reaction. The total number of oxygen atom/s present per molecule of the product $(\mathrm{P})$ is _________.
Explanation:

Hence, total number of oxygen atom present per molecule
is 1.






