2025
NEET
MCQ
iCON Education HYD, 79930 92826, 73309 72826
NEET 2025
Which one of the following reactions does NOT give benzene as the product?
A.
$\mathrm{H}-\mathrm{C} \equiv \mathrm{C}-\mathrm{H} \xrightarrow[\text { at } 873 \mathrm{~K}]{\text { red hot Iron Tube }}$
Show Answer
Practice Quiz
2025
NEET
MCQ
iCON Education HYD, 79930 92826, 73309 72826
NEET 2025
Which one of the following compounds does not decolourize bromine water?
Show Answer
Practice Quiz
Correct Answer: C
Explanation:
Test for unsaturation i.e. Bromine water Reddish orange colour of bromine solution in $\mathrm{CCl}_4$ will discharge when bromine adds to an unsaturation site.
2025
NEET
MCQ
iCON Education HYD, 79930 92826, 73309 72826
NEET 2025
Predict the major product ' $P$ ' in the following sequence of reactions-
Show Answer
Practice Quiz
2024
NEET
MCQ
iCON Education HYD, 79930 92826, 73309 72826
NEET 2024 (Re-Examination)
Given below are two statements:
Statement I: Propene on treatment with diborane gives an addition product with the formula
Statement II: Oxidation of
with hydrogen peroxide in presence of $\mathrm{NaOH}$ gives propan-2ol.
In the light of the above statements, choose the most appropriate answer from the options given below:
A.
Statement I is correct but Statement II is incorrect
B.
Statement I is incorrect but Statement II is correct
C.
Both Statement I and Statement II are correct
D.
Both Statement I and Statement II are incorrect
Show Answer
Practice Quiz
Correct Answer: B
Explanation:
$\mathrm{CH}_3 \mathrm{CH}=\mathrm{CH}_2+\left(\mathrm{H}-\mathrm{BH}_2\right)_2 \longrightarrow \mathrm{CH}_3-\mathrm{CH}_2-\mathrm{CH}_2-\mathrm{BH}_2 \xrightarrow{\mathrm{CH}_3 \mathrm{CH}_2 \mathrm{CH}_2}\left(\mathrm{CH}_3-\mathrm{CH}_2-\mathrm{CH}_2\right)_2 \mathrm{BH}$
$
\xrightarrow{\mathrm{CH}_3 \mathrm{CH}=\mathrm{CH}_2}\left(\mathrm{CH}_3-\mathrm{CH}_2-\mathrm{CH}_2\right)_3 \mathrm{~B} \xrightarrow{\mathrm{H}_2 \mathrm{O}_2 / \bar{\mathrm{OH}}}$ $\mathrm{\mathop {C{H_3} - C{H_2} - C{H_2} - OH}\limits_{\Pr opan - 1 - ol\,(Major)}}$
Statement I is incorrect but Statement II is correct.
2024
NEET
MCQ
iCON Education HYD, 79930 92826, 73309 72826
NEET 2024 (Re-Examination)
The alkane that can be oxidized to the corresponding alcohol by KMnO$_4$ as per the equation
is, when :
A.
$\mathrm{R}_1=\mathrm{H} ; \mathrm{R}_2=\mathrm{H} ; \mathrm{R}_3=\mathrm{H}$
B.
$\mathrm{R}_1=\mathrm{CH}_3 ; \mathrm{R}_2=\mathrm{CH}_3 ; \mathrm{R}_3=\mathrm{CH}_3$
C.
$\mathrm{R}_1=\mathrm{CH}_3 ; \mathrm{R}_2=\mathrm{H} ; \mathrm{R}_3=\mathrm{H}$
D.
$\mathrm{R}_1=\mathrm{CH}_3 ; \mathrm{R}_2=\mathrm{CH}_3 ; \mathrm{R}_3=\mathrm{H}$
Show Answer
Practice Quiz
Correct Answer: B
Explanation:
Generally alkanes resist oxidation but alkane with tertiary H atom(s) can be oxidised to corresponding
alcohols by KMnO$_4$
$
\therefore \mathrm{R}_1 \Rightarrow \mathrm{CH}_3 \quad \mathrm{R}_2 \Rightarrow \mathrm{CH}_3 \quad \mathrm{R}_3 \Rightarrow \mathrm{CH}_3$
2023
NEET
MCQ
iCON Education HYD, 79930 92826, 73309 72826
NEET 2023
Identify product $(\mathrm{A})$ is the following reaction :
Show Answer
Practice Quiz
2022
NEET
MCQ
iCON Education HYD, 79930 92826, 73309 72826
NEET 2022 Phase 2
The decreasing order of boiling points of the following alkanes is :
(a) heptane
(b) butane
(c) 2-methylbutane
(d) 2-methylpropane
(e) hexane
Choose the correct answer from the options given below :
A.
(a) > (e) > (c) > (b) > (d)
B.
(a) > (c) > (e) > (d) > (b)
C.
(c) > (d) > (a) > (e) > (b)
D.
(a) > (e) > (b) > (c) > (d)
Show Answer
Practice Quiz
Correct Answer: A
Explanation:
$\bullet$ With increase in number of carbons in alkane, boiling point increases
$\bullet$ In case of isomeric alkanes, greater is the number of branches, lesser is the boiling point.
Boiling point order : $\mathop {\mathrm{Heptan e}}\limits_{(a)} > \mathop {\mathrm{Hexane}}\limits_{(e)} > \mathop {\mathrm{2 - methylbutane}}\limits_{(c)} > \mathop {\mathrm{butane}}\limits_{(b)} > \mathop {2 - \mathrm{methylpropane}}\limits_{(d)} $
2022
NEET
MCQ
iCON Education HYD, 79930 92826, 73309 72826
NEET 2022 Phase 2
The products A and B in the following reaction sequence are :
Show Answer
Practice Quiz
2022
NEET
MCQ
iCON Education HYD, 79930 92826, 73309 72826
NEET 2022 Phase 2
The incorrect method for the synthesis of alkenes is
A.
Treating vicinal dihalides with Zn metal
B.
Treating of alkynes with Na in liquid NH3
C.
Heating alkyl halides with alcoholic KOH
D.
Treating alkyl halides in aqueous KOH solution
Show Answer
Practice Quiz
Correct Answer: D
Explanation:
Alkenes can be prepared
2021
NEET
MCQ
iCON Education HYD, 79930 92826, 73309 72826
NEET 2021
The correct structure of 2, 6-dimethyl-dec-4-ene is
Show Answer
Practice Quiz
Correct Answer: A
Explanation:
The structure can be identified with the help of branches at 2 and 6 positions and a double bond at 4 position.
2020
NEET
MCQ
iCON Education HYD, 79930 92826, 73309 72826
NEET 2020 Phase 1
As alkene on ozonolysis gives methanal as one of the product, Its structure is :
Show Answer
Practice Quiz
2019
NEET
MCQ
iCON Education HYD, 79930 92826, 73309 72826
NEET 2019
An alkene “A” on reaction with O3 and Zn + H2 O gives propanone and ethanal in equimolar ratio. Addition
of HCl to alkene “A” gives “B” as the major product. The structure of product “B” is :
Show Answer
Practice Quiz
2019
NEET
MCQ
iCON Education HYD, 79930 92826, 73309 72826
NEET 2019
Among the following, the reaction that proceeds through an electrophilic substitution, is :
Show Answer
Practice Quiz
2019
NEET
MCQ
iCON Education HYD, 79930 92826, 73309 72826
NEET 2019
The most suitable reagent for the following conversion, is :
Show Answer
Practice Quiz
2018
NEET
MCQ
iCON Education HYD, 79930 92826, 73309 72826
NEET 2018
Hydrocarbon (A) reacts with bromine by
substitution to form an alkyl bromide which by
Wurtz reaction is converted to gaseous
hydrocarbon containing less than four carbon
atoms. (A) is
Show Answer
Practice Quiz
2017
NEET
MCQ
iCON Education HYD, 79930 92826, 73309 72826
NEET 2017
Which one is the correct order of acidity?
A.
CH$ \equiv $CH > CH3 $-$C$ \equiv $CH
> CH2 $=$ CH2 > CH3 $-$CH3
B.
CH $ \equiv $ CH > CH2 $=$ CH2
> CH3 $-$C $ \equiv $ CH > CH3 $-$CH3
C.
CH3 $-$CH3 > CH2 $=$ CH2
> CH3 $-$C $ \equiv $ CH > CH$ \equiv $CH
D.
CH2 $=$CH2 > CH3 $-$ CH $=$ CH2
> CH3 $-$ C$ \equiv $ CH > CH $ \equiv $ CH
Show Answer
Practice Quiz
Correct Answer: A
Explanation:
Greater the character of C-atom in hydrocarbons,
greater the electronegativity of that carbon and
thus greater the acidic nature of the H attached to
electronegative carbon.
Thus CH$ \equiv $CH > CH3 $-$C$ \equiv $CH
> CH2 $=$ CH2 > CH3 $-$CH3
2017
NEET
MCQ
iCON Education HYD, 79930 92826, 73309 72826
NEET 2017
Predict the correct intermediate and product in the following reaction :
${H_3}C - C \equiv CH\mathrel{\mathop{\kern0pt\longrightarrow}
\limits_{HgS{O_4}}^{{H_2}O,{H_2}S{O_4}}} \mathop {Intermediate}\limits_{(A)} \to \mathop {\Pr oduct}\limits_{(B)} $
Show Answer
Practice Quiz
2017
NEET
MCQ
iCON Education HYD, 79930 92826, 73309 72826
NEET 2017
With respect to the conformers of ethane, which of the following statements is true?
A.
Bond angle changes but bond length remains same.
B.
Both bond angle and bond length change.
C.
Both bond angle and bond length remain same.
D.
Bond angle remains same but bond length changes.
Show Answer
Practice Quiz
Correct Answer: C
Explanation:
Conformers are the isomers which are formed
by rotation about single bonds without any cleavage
of any bond. These conformers have same bond
angle between them and have same bond length
while their dihedral angle changes.
2016
NEET
MCQ
iCON Education HYD, 79930 92826, 73309 72826
NEET 2016 Phase 2
In pyrrole the electron density is maximum on
Show Answer
Practice Quiz
Correct Answer: D
Explanation:
Pyrrole has maximum electron density on
2 and 5. It generally reacts with electrophiles at the
C-2 or C-5 due to the highest degree of stability of
the protonated intermediate.
Attack at position 3 or 4 yields a carbocation that is
a hybrid of structures (I) and (II). Attack at position
2 or 5 yields a carbocation that is a hybrid not only
of structures (III) and (IV) (analogous to I and II) but
also of structure (V). The extra stabilization conferred
by (V) makes this ion the more stable one.
Also, attack at position 2 or 5 is faster because the
developing positive charge is accommodated by
three atoms of the ring instead of by only two.
2016
NEET
MCQ
iCON Education HYD, 79930 92826, 73309 72826
NEET 2016 Phase 2
Which of the following compounds shall not produce propene by reaction with HBr followed by elimination or direct only elimination reaction ?
Show Answer
Practice Quiz
2016
NEET
MCQ
iCON Education HYD, 79930 92826, 73309 72826
NEET 2016 Phase 2
In which of the following molecules, all atoms are coplanar?
Show Answer
Practice Quiz
Correct Answer: A
Explanation:
Biphenyl is coplanar as all carbon atoms are sp2
hybridised.
2016
NEET
MCQ
iCON Education HYD, 79930 92826, 73309 72826
NEET 2016 Phase 2
In the given reaction,
the product P is
Show Answer
Practice Quiz
2016
NEET
MCQ
iCON Education HYD, 79930 92826, 73309 72826
NEET 2016 Phase 2
Which of the following can be used as the halide component for Friedel-Crafts reaction?
Show Answer
Practice Quiz
Correct Answer: D
Explanation:
Friedel–Crafts reaction :
Chlorobenzene, bromobenzene and chloroethene
are not suitable halide components as lone pair of
electrons of halogen are delocalized with $\pi $-bonds
to attain double bond (C = X) character.
2016
NEET
MCQ
iCON Education HYD, 79930 92826, 73309 72826
NEET 2016 Phase 2
The compound that will react most readily with gaseous bromine has the formula
Show Answer
Practice Quiz
Correct Answer: A
Explanation:
Propene is most reactive towards Br2 (gaseous) than CH2 = CH2 , HC $ \equiv $ CH and butane due to most electron
density.
2016
NEET
MCQ
iCON Education HYD, 79930 92826, 73309 72826
NEET 2016 Phase 1
For the following reactions :
(A) CH
3 CH
2 CH
2 Br + KOH $ \to $
CH
3 CH $=$ CH
2 + KBr + H
2 O
Which of the following statements is correct?
A.
(A) is elimination, (B) and (C) are substitution reactions.
B.
(A) is substitution, (B) and (C) are addition reactions.
C.
(A) and (B) are elimination reactions and (C) is addition reaction.
D.
(A) is elimination, (B) is substitution and (C) is addition reaction.
Show Answer
Practice Quiz
Correct Answer: D
Explanation:
(A) Saturated compound is converted into unsaturated
compound by removal of group of atoms hence, it
is an elimination reaction.
(B) —Br group is replaced by —OH group hence, it is a
substitution reaction.
(C) Addition of Br2 converts an unsaturated compound
into a saturated compound hence, it is an addition
reaction.
2016
NEET
MCQ
iCON Education HYD, 79930 92826, 73309 72826
NEET 2016 Phase 1
The pair of electrons in the given carbanion, CH3 C $ \equiv $ C$-$ , is present in which of the following orbitals?
Show Answer
Practice Quiz
Correct Answer: B
Explanation:
Thus, pair of electrons is present in sp-hybridised orbital.
2016
NEET
MCQ
iCON Education HYD, 79930 92826, 73309 72826
NEET 2016 Phase 1
Consider the nitration of benzene using mixed conc.H2 SO4 and HNO3 . If a large amount of KHSO4 is added to the mixture, the rate of nitration will be
Show Answer
Practice Quiz
Correct Answer: D
Explanation:
H2 SO4 + HNO3 $ \to $ $NO_2^ + $ + $HSO_4^ - $ + ${H_3}{O^ + }$
KHSO4 $ \to $ K+ + $HSO_4^ - $
Due to common ion effect backward reaction will take place so the formation $NO_2^ + $
decrease so nitration
process will become slower.
2016
NEET
MCQ
iCON Education HYD, 79930 92826, 73309 72826
NEET 2016 Phase 1
In the reaction
X and Y are
A.
X = 2-Butyne, Y = 2-Hexyne
B.
X = 1-Butyne, Y = 2-Hexyne
C.
X = 1-Butyne, Y = 3-Hexyne
D.
X = 2-Butyne, Y = 3-Hexyne
Show Answer
Practice Quiz
2015
NEET
MCQ
iCON Education HYD, 79930 92826, 73309 72826
AIPMT 2015
Which of the following is not the product of dehydration of
Show Answer
Practice Quiz
2015
NEET
MCQ
iCON Education HYD, 79930 92826, 73309 72826
AIPMT 2015
In the reaction with HCl, an alkene reacts in accordance with the Markovnikov's rule to give a product 1-chloro-1 methylcyclohexane. The possible alkene is
Show Answer
Practice Quiz
2015
NEET
MCQ
iCON Education HYD, 79930 92826, 73309 72826
AIPMT 2015
2,3-Dimethyl-2-butene can be prepared by heating which of the following compounds with a strong acid?
Show Answer
Practice Quiz
2015
NEET
MCQ
iCON Education HYD, 79930 92826, 73309 72826
AIPMT 2015 Cancelled Paper
A single compound of the structure,
is obtainable from ozonolysis of which of the following cyclic compounds?
Show Answer
Practice Quiz
2015
NEET
MCQ
iCON Education HYD, 79930 92826, 73309 72826
AIPMT 2015 Cancelled Paper
Given :
The enthalpy of hydrogenation of these compounds will be in the order as
Show Answer
Practice Quiz
Correct Answer: D
Explanation:
Enthalpy of hydrogenation is inversely proportional to the stability of alkenes.
Stability of alkenes : I $>$ II $>$ III
Enthalpy of hydrogenation : I $<$ II $<$ II
2014
NEET
MCQ
iCON Education HYD, 79930 92826, 73309 72826
AIPMT 2014
Identify Z in the sequence of reactions :
A.
CH3 $-$(CH2 )3 $-$ O $-$ CH2 CH3
B.
(CH3 )2 CH $-$ O $-$ CH2 CH3
C.
CH3 (CH2 )4 $-$ O $-$ CH3
D.
CH3 CH2 $-$ CH(CH3 ) $-$ O $-$ CH2 CH3
Show Answer
Practice Quiz
2014
NEET
MCQ
iCON Education HYD, 79930 92826, 73309 72826
AIPMT 2014
Which of the following organic compounds has same hybridization as its combustion product (CO2 )?
Show Answer
Practice Quiz
Correct Answer: B
Explanation:
The combustion reaction of ethylene is
C2 O2 + ${5 \over 2}$O2 $ \to $ 2CO2 + H2 O
Both ethyne and CO2 have sp-hybridisation.
2014
NEET
MCQ
iCON Education HYD, 79930 92826, 73309 72826
AIPMT 2014
What products are formed when the following compound is treated with Br
2 in the presence of FeBr
3 ?
Show Answer
Practice Quiz
Correct Answer: C
Explanation:
Methyl group is ortho para directing but due to steric hindrance effect, generated by two -CH
3 groups substitution will not take place on position (I). Hence only two products are possible.
2013
NEET
MCQ
iCON Education HYD, 79930 92826, 73309 72826
NEET 2013 (Karnataka)
In the following reaction :
Product 'P' will not give
Show Answer
Practice Quiz
Correct Answer: C
Explanation:
CH
3 CHO does not give Victor Meyer test.
2013
NEET
MCQ
iCON Education HYD, 79930 92826, 73309 72826
NEET 2013
Which of the following compounds will not undergo Friedal-Craft's reaction easily?
Show Answer
Practice Quiz
Correct Answer: A
Explanation:
Nitrobenzene is strongly deactivated, hence will not undergo Friedel-Crafts reaction.
2012
NEET
MCQ
iCON Education HYD, 79930 92826, 73309 72826
AIPMT 2012 Mains
Which of the following reagents will be able to distinguish between 1-butyne and 2-butyne?
Show Answer
Practice Quiz
2012
NEET
MCQ
iCON Education HYD, 79930 92826, 73309 72826
AIPMT 2012 Prelims
Among the following compounds the one that is most reactive towards electrophilic nitration is
Show Answer
Practice Quiz
Correct Answer: C
Explanation:
Due to electron releasing group like —R,
—OH etc. increases the electron density at ortho
and para position and thus makes the benzene
ring more reactive towards electrophile. On the
other hand, electron withdrawing groups like —
COOH, —NO
2 etc. reduces electron density and
thus reduces the reactivity of benzene towards
electrophile. Thus, the order is
2012
NEET
MCQ
iCON Education HYD, 79930 92826, 73309 72826
AIPMT 2012 Prelims
In the following reaction
The major product is
Show Answer
Practice Quiz
2010
NEET
MCQ
iCON Education HYD, 79930 92826, 73309 72826
AIPMT 2010 Prelims
Liquid hydrocarbons can be converted to a mixture of gaseous hydrocarbons by
C.
distillation under reduced pressure
Show Answer
Practice Quiz
Correct Answer: B
Explanation:
On cracking or pyrolysis, the hydrocarbon with higher molecular mass gives a mixture of hydrocarbons having lower molecular masses. Hence, liquid hydrocarbons can be converted into a mixture of gaseous hydrocarbons. (Lower hydrocarbons exist in gaseous state while higher ones are in liquid state or solid state.)
2010
NEET
MCQ
iCON Education HYD, 79930 92826, 73309 72826
AIPMT 2010 Prelims
The reaction of toluene with Cl2 in presence of FeCl3 gives X and reaction in presence of light gives Y. Thus, X and Y are
A.
X = Benzal chloride, Y = o-chlorotoluene
B.
X = m-chloroluene, Y = p-chlorotoluene
C.
X = o- and p-chlorotoluene,
Y = Trichloromethyl benzene
D.
X = Benzyl chloride, Y = m-chlorotoluene
Show Answer
Practice Quiz
2010
NEET
MCQ
iCON Education HYD, 79930 92826, 73309 72826
AIPMT 2010 Prelims
In a set of reactions, ethylbenzene yielded a product D.
D would be
Show Answer
Practice Quiz
2009
NEET
MCQ
iCON Education HYD, 79930 92826, 73309 72826
AIPMT 2009
The state of hybridisation of C
2 , C
3 , C
5 and C
6 of the hydrocarbon,
is in the following sequence
Show Answer
Practice Quiz
Correct Answer: D
Explanation:
$ \therefore $ C
2 - sp, C
3 - sp
3 , C
5 - sp
2 and C
6 - sp
3
2009
NEET
MCQ
iCON Education HYD, 79930 92826, 73309 72826
AIPMT 2009
Which of the following compounds will exhibit cis-trans (geometrical) isomerism?
Show Answer
Practice Quiz
Correct Answer: D
Explanation:
Alkenes with double bonds cannot undergo free rotation and can have different geometrical shapes with two different groups on each end of the double bond.
2009
NEET
MCQ
iCON Education HYD, 79930 92826, 73309 72826
AIPMT 2009
Benzene reacts with CH3 Cl in the presence of anhydrons AlCl3 to form
Show Answer
Practice Quiz
2008
NEET
MCQ
iCON Education HYD, 79930 92826, 73309 72826
AIPMT 2008
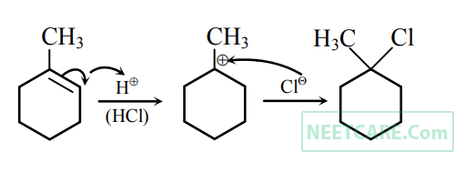
A (predominantly) is
Show Answer
Practice Quiz
Correct Answer: D
Explanation:
We know that in case of an unsymmetrical alkene there is the possibility of forming two products. In such cases the formation of major product is decided on the basis of Markownikoffs rule which is rationalized in terms of stability of the carbocation. Also 3
o carbocation is more stable than 2
o carbocation and 2
o carbocation is more stable than 1
o carbocation.
2008
NEET
MCQ
iCON Education HYD, 79930 92826, 73309 72826
AIPMT 2008
In the hydrocarbon,
The state of hybridization of carbons 1, 3 and 5 are in the following sequence
Show Answer
Practice Quiz
Correct Answer: D
Explanation:
The state of hybridization of carbons 1, 3 and 5
are sp, sp
3 and sp
2
respectively.
2007
NEET
MCQ
iCON Education HYD, 79930 92826, 73309 72826
AIPMT 2007
Which of the compound with molecular formula C5 H10 yields acetone on ozonolysis?
Show Answer
Practice Quiz
Correct Answer: D
Explanation:
So, 2-methyl-2-butene yields acetone on ozonolysis.