Coordination Compounds

107 Questions
2025 NEET MSQ
NEET 2025

Out of the following complex compounds, which of the compound will be having the minimum conductance solution?

A.
$\left[\mathrm{Co}\left(\mathrm{NH}_3\right)_6\right] \mathrm{Cl}_3$
B.
$\left[\mathrm{Co}\left(\mathrm{NH}_3\right)_5 \mathrm{Cl}\right] \mathrm{Cl}$
C.
$\left[\mathrm{Co}\left(\mathrm{NH}_3\right)_3 \mathrm{Cl}_3\right]$
D.
$\left[\mathrm{Co}\left(\mathrm{NH}_3\right)_4 \mathrm{Cl}_2\right]$
2025 NEET MCQ
NEET 2025

Which of the following are paramagnetic?

A. $\left[\mathrm{NiCl}_4\right]^{2-}$

B. $\mathrm{Ni}(\mathrm{CO})_4$

C. $\left[\mathrm{Ni}(\mathrm{CN})_4\right]^{2-}$

D. $\left[\mathrm{Ni}\left(\mathrm{H}_2 \mathrm{O}\right)_6\right]^{2+}$

E. $\mathrm{Ni}\left(\mathrm{PPh}_3\right)_4$

Choose the correct answer from the options given below :

A.
A and D only
B.
A, D and E only
C.
A and C only
D.
B and E only
2025 NEET MCQ
NEET 2025

The correct order of the wavelength of light absorbed by the following complexes is,

A. $\left[\mathrm{Co}\left(\mathrm{NH}_3\right)_6\right]^{3+}$

B. $\left[\mathrm{Co}(\mathrm{CN})_6\right]^{3-}$

C. $\left[\mathrm{Cu}\left(\mathrm{H}_2 \mathrm{O}\right)_4\right]^{2+}$

D. $\left[\mathrm{Ti}\left(\mathrm{H}_2 \mathrm{O}\right)_6\right]^{3+}$

Choose the correct answer from the options given below:

A.
C $<$ D $<$ A $<$ B
B.
  C $<$ A $<$ D $<$ B
C.
B $<$ D $<$ A $<$ C
D.
B $<$ A $<$ D $<$ C
2024 NEET MCQ
NEET 2024 (Re-Examination)

Ethylene diaminetetraacetate ion is a/an:

A.
hexadentate ligand
B.
ambidentate ligand
C.
monodentate ligand
D.
bidentate ligand
2024 NEET MCQ
NEET 2024 (Re-Examination)

Which of the following is not an ambidentate ligand?

A.
$ \mathrm{C}_2 \mathrm{O}_4^{2-} $
B.
SCN$^-$
C.
NO$_2^-$
D.
CN$^-$
2024 NEET MCQ
NEET 2024 (Re-Examination)

$\left[\mathrm{Mn}_2(\mathrm{CO})_{10}\right]$ and $\left[\mathrm{Co}_2(\mathrm{CO})_8\right]$ structures have

A. Metal-Metal linkage

B. Terminal CO groups

C. Bridging CO groups

D. Metal in zero oxidation state

Choose the correct answer from the options given below

A.
Only A, B, C
B.
Only B, C, D
C.
Only A, C, D
D.
Only A, B, D
2024 NEET MCQ
NEET 2024

Match List I with List II.

List I
(Complex)
List II
(Type of isomerism)
A. $
\left[\mathrm{Co}\left(\mathrm{NH}_3\right)_5\left(\mathrm{NO}_2\right)\right] \mathrm{Cl}_2
$
I. Solvate isomerism
B. $
\left[\mathrm{Co}\left(\mathrm{NH}_3\right)_5\left(\mathrm{SO}_4\right)\right] \mathrm{Br}
$
II. Linkage isomerism
C. $
\left[\mathrm{Co}\left(\mathrm{NH}_3\right)_6\right]\left[\mathrm{Cr}(\mathrm{CN})_6\right]
$
III. Ionization isomerism
D. $
\left[\mathrm{Co}\left(\mathrm{H}_2 \mathrm{O}\right)_6\right] \mathrm{Cl}_3
$
IV. Coordination isomerism

Choose the correct answer from the options given below:

A.
A-II, B-III, C-IV, D-I
B.
A-I, B-III, C-IV, D-II
C.
A-I, B-IV, C-III, D-II
D.
A-II, B-IV, C-III, D-I
2024 NEET MCQ
NEET 2024

Given below are two statements :

Statement I: Both $[\mathrm{Co}(\mathrm{NH}_3)_6]^{3+}$ and $[\mathrm{CoF}_6]^{3-}$ complexes are octahedral but differ in their magnetic behaviour.

Statement II: $[\mathrm{Co}(\mathrm{NH}_3)_6]^{3+}$ is diamagnetic whereas $[\mathrm{CoF}_6]^{3-}$ is paramagnetic.

In the light of the above statements, choose the correct answer from the options given below:

A.
Both Statement I and Statement II are true
B.
Both Statement I and Statement II are false
C.
Statement I is true but Statement II is false
D.
Statement I is false but Statement II is true
2024 NEET MCQ
NEET 2024

Given below are two statements :

Statement I : $[\mathrm{Co}(\mathrm{NH}_3)_6]^{3+}$ is a homoleptic complex whereas $[\mathrm{Co}(\mathrm{NH}_3)_4 \mathrm{Cl}_2]^{+}$ is a heteroleptic complex.

Statement II : Complex $[\mathrm{Co}(\mathrm{NH}_3)_6]^{3+}$ has only one kind of ligands but $[\mathrm{Co}(\mathrm{NH}_3)_4 \mathrm{Cl}_2]^{+}$ has more than one kind of ligands.

In the light of the above statements, choose the correct answer from the options given below.

A.
Both Statement I and Statement II are true
B.
Both Statement I and Statement II are false
C.
Statement I is true but Statement II is false
D.
Statement I is false but Statement II is true
2023 NEET MCQ
NEET 2023 Manipur

Select the element (M) whose trihalides cannot be hydrolysed to produce an ion of the form [M(H$_2$O$_6$]$^{3+}$

A.
Ga
B.
In
C.
Al
D.
B
2023 NEET MCQ
NEET 2023 Manipur

Which of the following forms a set of complex and a double salt, respectively?

A.
$\mathrm{CuSO}_4 \cdot 5 \mathrm{H}_2 \mathrm{O}$ and $\mathrm{CuCl}_2, 4 \mathrm{NH}_3$
B.
$\mathrm{PtCl}_2 \cdot 2 \mathrm{NH}_3$ and $\mathrm{PtCl}_4 \cdot 2 \mathrm{HCl}$
C.
$\mathrm{K}_2 \mathrm{PtCl}_2 \cdot 2 \mathrm{NH}_3$ and $\mathrm{KAl}\left(\mathrm{SO}_4\right)_2 \cdot 12 \mathrm{H}_2 \mathrm{O}$
D.
$\mathrm{NiCl}_2 \cdot 6 \mathrm{H}_2 \mathrm{O}$ and $\mathrm{NiCl}_2\left(\mathrm{H}_2 \mathrm{O}\right)_4$
2023 NEET MCQ
NEET 2023 Manipur

Type of isomerism exhibited by compounds $ \left[\mathrm{Cr}\left(\mathrm{H}_2 \mathrm{O}\right)_6 \mathrm{Cl}_3,\left[\mathrm{Cr}\left(\mathrm{H}_2 \mathrm{O}\right)_5 \mathrm{Cl}_2 \mathrm{Cl}_2 \cdot \mathrm{H}_2 \mathrm{O}\right.\right.,\left[\mathrm{Cr}\left(\mathrm{H}_2 \mathrm{O}\right)_4 \mathrm{Cl}_2\right] \mathrm{Cl} .2 \mathrm{H}_2 \mathrm{O}$ and the value of coordination number $(\mathrm{CN})$ of central metal ion in all these compounds, respectively is :

A.
Geometrical isomerism, CN = 2
B.
Optical isomerism, CN = 4
C.
Ionisation isomerism, CN = 4
D.
Solvate isomerism, CN = 6
2023 NEET MCQ
NEET 2023

Homoleptic complex from the following complexes is :

A.
Diamminechloridonitrito-N-platinum (II)
B.
Pentaamminecarbonatocobalt (III) chloride
C.
Triamminetriaquachromium (III) chloride
D.
Potassium trioxalatoaluminate (III)
2023 NEET MCQ
NEET 2023

Which complex compound is most stable?

A.
$\left[\mathrm{Co}\left(\mathrm{NH}_{3}\right)_{3}\left(\mathrm{NO}_{3}\right)_{3}\right]$
B.
$\left[\mathrm{CoCl}_{2}(\mathrm{en})_{2}\right] \mathrm{NO}_{3}$
C.
$\left[\mathrm{Co}\left(\mathrm{NH}_{3}\right)_{6}\right]_{2}\left(\mathrm{SO}_{4}\right)_{3}$
D.
$\left[\mathrm{Co}\left(\mathrm{NH}_{3}\right)_{4}\left(\mathrm{H}_{2} \mathrm{O}\right) \mathrm{Br}\right]\left(\mathrm{NO}_{3}\right)_{2}$
2022 NEET MCQ
NEET 2022 Phase 2

Match List-I with List-II :

List-I
(Complexes)
List-II
(Types)
(a) $[Co{(N{H_3})_5}N{O_2}]C{l_2}$ and $[Co{(N{H_3})_5}ONO]C{l_2}$ (i) ionisation isomerism
(b) $[Cr{(N{H_3})_6}][Co{(CN)_6}]$ and $[Cr{(CN)_6}][Co{(N{H_3})_6}]$ (ii) coordination isomerism
(c) $[Co{(N{H_3})_5}(S{O_4})]Br$ and $[Co{(N{H_3})_5}Br]S{O_4}$ (iii) linkage isomerism
(d) $[Cr{({H_2}O)_6}]C{l_3}$ and $[Cr{({H_2}O)_5}Cl]C{l_2}\,.\,{H_2}O$ (iv) solvate isomerism

Choose the correct answer from the options given below :

A.
(a)-(iv), (b)-(iii), (c)-(ii), (d)-(i)
B.
(a)-(iii), (b)-(i), (c)-(ii), (d)-(iv)
C.
(a)-(ii), (b)-(iii), (c)-(iv), (d)-(i)
D.
(a)-(iii), (b)-(ii), (c)-(i), (d)-(iv)
2022 NEET MCQ
NEET 2022 Phase 2

Given below are two statements : one is labelled as Assertion (A) and the other is labelled as Reason (R).

Assertion (A) : The metal carbon bond in metal carbonyls possesses both $\sigma$ and $\pi$ character.

Reason (R) : The ligand to metal bond is a $\pi$ bond and metal to ligand bond is a $\sigma$ bond.

In the light of the above statements, choose the most appropriate answer from the options given below.

A.
(A) is not correct but (R) is correct
B.
Both (A) and (R) are correct and (R) is the correct explanation of (A)
C.
Both (A) and (R) are correct but (R) is not the correct explanation of (A)
D.
(A) is correct but (R) is not correct
2022 NEET MCQ
NEET 2022 Phase 1

The IUPAC name of the complex -

[Ag(H2O)2][Ag(CN)2] is:

A.
dicyanidosilver(II) diaquaargentate (II)
B.
diaquasilver(II) dicyanidoargentate(II)
C.
dicyanidosilver(I) diaquaargentate(I)
D.
diaquasilver(I) dicyanidoargentate(I)
2022 NEET MCQ
NEET 2022 Phase 1

The order of energy absorbed which is responsible for the color of complexes

(A) [Ni(H2O)2(en)2]2+

(B) [Ni(H2O)4(en)]2+ and

(C) [Ni(en)3]2+

is

A.
(A) > (B) > (C)
B.
(C) > (B) > (A)
C.
(C) > (A) > (B)
D.
(B) > (A) > (C)
2021 NEET MCQ
NEET 2021
Ethylene diaminetetraacetate (EDTA) ion is :
A.
Tridentate ligand with three "N" donor atoms
B.
hexadentate ligand with four "O" and two "N" donor atoms
C.
Unidentate ligand
D.
Bidentate ligand with two "N" donor atoms
2021 NEET MCQ
NEET 2021
Match List-I with List-II :

List-I List-II
(a) ${[Fe{(CN)_6}]^{3 - }}$ (i) 5.92 BM
(b) ${[Fe{({H_2}O)_6}]^{3 + }}$ (ii) 0 BM
(c) ${[Fe{(CN)_6}]^{4 - }}$
(iii) 4.90 BM
(d) ${[Fe{({H_2}O)_6}]^{2 + }}$
(iv) 1.73 BM


Choose the correct answer from the options given below.
A.
(a)-(iv), (b)-(i), (c)-(ii), (d)-(iii)
B.
(a)-(iv), (b)-(ii), (c)-(i), (d)-(iii)
C.
(a)-(ii), (b)-(iv), (c)-(iii), (d)-(i)
D.
(a)-(i), (b)-(iii), (c)-(iv), (d)-(ii)
2020 NEET MCQ
NEET 2020 Phase 1
The calculated spin only magnetic moment of Cr2+ ion is?
A.
4.90 BM
B.
5.92 BM
C.
2.84 BM
D.
3.87 BM
2020 NEET MCQ
NEET 2020 Phase 1
Urea reacts with water to form A which will decompose to form B. B when passed through Cu2+ (aq), deep blue colour solution C is formed. What is the formula of C from the following?
A.
${[Cu{(N{H_3})_4}]^{2 + }}$
B.
$Cu{(OH)_2}$
C.
$CuC{O_3}.Cu{(OH)_2}$
D.
$CuS{O_4}$
2020 NEET MCQ
NEET 2020 Phase 1
Which of the following is the correct order of increasing field strength of ligands to form coordination compounds?
A.
SCN$ - $ < F$ - $ < CN$ - $ < C2O42-
B.
F$ - $ < SCN$ - $ < C2O42- < CN$ - $
C.
CN$ - $ < C2O42- SCN$ - $ < F$ - $
D.
SCN$ - $ < F$ - $ < C2O42- < CN$ - $
2019 NEET MCQ
NEET 2019
What is the correct electronic configuration of the central atom in K4[Fe(CN)6] based on crystal field theory?
A.
$t_{2g}^4e_g^2$
B.
$t_{2g}^6e_g^0$
C.
${e^3}t_2^3$
D.
${e^4}t_2^2$
2018 NEET MCQ
NEET 2018
Iron carbonyl, Fe(CO)5 is
A.
tetranuclear
B.
mononuclear
C.
trinuclear
D.
dinuclear
2018 NEET MCQ
NEET 2018
The geometry and magnetic behaviour of the complex [Ni(CO)4] are
A.
square planar geometry and diamagnetic
B.
tetrahedral geometry and diamagnetic
C.
square planar geometry and paramagnetic
D.
tetrahedral geometry and paramagnetic.
2018 NEET MCQ
NEET 2018
The type of isomerism shown by the complex [CoCl2(en)2] is
A.
geometrical isomerism
B.
coordination isomerism
C.
ionization isomerism
D.
linkage isomerism.
2017 NEET MCQ
NEET 2017
An example of a sigma bonded organometallic compound is
A.
Grignard's reagent
B.
ferrocene
C.
cobaltocene
D.
ruthenocene.
2017 NEET MCQ
NEET 2017
Pick out the correct statement with respect to [Mn(CN)6]3$-$.
A.
It is sp3d2 hybridised and tetrahedral.
B.
It is d2sp3 hybridised and octahedral.
C.
It is dsp2 hybridised and square planar.
D.
It is sp3d2 hybridised and octahedral.
2017 NEET MCQ
NEET 2017
Correct increasing order for the wavelengths of absorption in the visible region for the complexes of Co3+ is
A.
[Co(H2O)6]3+, [Co(en)3]3+, [Co(NH3)6]3+
B.
[Co(H2O)6]3+, [Co(NH3)6]3+, [Co(en)3]3+
C.
[Co(NH3)6]3+, [Co(en)3]3+, [Co(H2O)6]3+
D.
[Co(en)3]3+, [Co(NH3)6]3+, [Co(H2O)6]3+
2017 NEET MCQ
NEET 2017
The correct order of the stoichiometries of AgCl formed when AgNO3 in excess is treated with the complexes : CoCl3.6NH3, CoCl3.5NH3, CoCl3.4NH3 respectively is
A.
3AgCl, 1AgCl. 2AgCl
B.
3AgCl, 2AgCl, 1AgCl
C.
2AgCl, 3AgCl, 2AgCl
D.
1AgCl, 3AgCl, 2AgCl
2016 NEET MCQ
NEET 2016 Phase 2
Jahn-Teller effect is not observed in high spin complexes of
A.
d7
B.
d8
C.
d4
D.
d9
2016 NEET MCQ
NEET 2016 Phase 2
The correct increasing order of trans-effect of the following species is
A.
NH3 > CN$-$ > Br$-$ > C6H5$-$
B.
CN$-$ > C6H5$-$ > Br$-$ > NH3
C.
Br$-$ > CN$-$ > NH3 > C6H5$-$
D.
CN$-$ > Br$-$ > C6H5$-$ > NH3
2016 NEET MCQ
NEET 2016 Phase 1
Which of the following has longest C$-$O bond length? (Free C$-$O bond length in CO is 1.128 $\mathop A\limits^o $.)
A.
[Fe(CO)4]2$-$
B.
[Mn(CO)6]+
C.
Ni(CO)4
D.
[Co(CO)4]$-$
2015 NEET MCQ
AIPMT 2015
Number of possible isomers for the complex [Co(en)2Cl2]Cl will be (en = ethylenediamine)
A.
1
B.
3
C.
4
D.
2
2015 NEET MCQ
AIPMT 2015
The sum of coordination number and oxidation number of the metal M in the complex [M(en)2(C2O4)]Cl (where en is ethylenediamine) is
A.
6
B.
7
C.
8
D.
9
2015 NEET MCQ
AIPMT 2015
The name of complex ion, [Fe(CN)6]3$-$ is
A.
hexacyanitoferrate (III) ion
B.
tricyanoferrate (III) ion
C.
hexacyanidoferrate (III) ion
D.
hexacyanoiron (III) ion.
2015 NEET MCQ
AIPMT 2015
The hybridization involved in complex [Ni(CN)4]$2-$ is (At. No. Ni = 28)
A.
sp3
B.
d2sp2
C.
d2sp3
D.
dsp2
2015 NEET MCQ
AIPMT 2015 Cancelled Paper
Which of these statements about [Co(CN)6]3$-$ is true?
A.
[Co(CN)6]3$-$ has four unpaired electrons and will be in a high-spin configuration.
B.
[Co(CN)6]3$-$ has no unpaired electrons and will be in a high-spin configuration.
C.
[Co(CN)6]3$-$ has no unpaired electrons and will be in a low-spin configuration.
D.
[Co(CN)6]3$-$ has four unpaired electrons and will be in a low-spin configuration.
2015 NEET MCQ
AIPMT 2015 Cancelled Paper
Cobalt (III) chloride forms several octahedral complexes with ammonia. Which of the following will not give test for chloride ions with silver nitrate at 25oC?
A.
CoCl3 $ \cdot $ 5NH3
B.
CoCl3 $ \cdot $ 6NH3
C.
CoCl3 $ \cdot $ 3NH3
D.
CoCl3 $ \cdot $ 4NH3
2014 NEET MCQ
AIPMT 2014
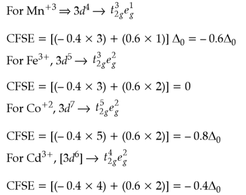
Among the following complexes the one which shows zero crystal field stabilization energy (CFSE) is
A.
[Mn(H2O)6]3+
B.
[Fe(H2O)6]3+
C.
[Co(H2O)6]2+
D.
[Co(H2O)6]3+
2014 NEET MCQ
AIPMT 2014
Which of the following complexes is used to be as an anticancer agent?
A.
mer-[Co(NH3)3Cl3]
B.
cis-PtCl2(NH3)2]
C.
cis-K2[PtCl2Br2
D.
Na2CoCl4
2013 NEET MCQ
NEET 2013 (Karnataka)
The anion of acetylacetone (acac) forms Co (acac)3 chelate with Co3+. The rings of the chelate are
A.
five membered
B.
four membered
C.
six membered
D.
three membered.
2013 NEET MCQ
NEET 2013 (Karnataka)
Which is diamagnetic?
A.
[Co(F)6]3$-$
B.
[Ni(CN)4]2$-$
C.
[NiCl4]2$-$
D.
[Fe(CN)6]3$-$
2013 NEET MCQ
NEET 2013 (Karnataka)
Nitrogen detection in an organic compound is carried out by Lassaigne's test. The blue colour formed corresponds to which of the following formulae?
A.
Fe3[Fe(CN)6]2
B.
Fe4[Fe(CN)6]3
C.
Fe4[Fe(CN)6]2
D.
Fe3[Fe(CN)6]3
2013 NEET MCQ
NEET 2013 (Karnataka)
Crystal field splitting energy for high spin d4 octahedral complex is
A.
$-$ 1.2 $\Delta $o
B.
$-$ 0.6 $\Delta $0
C.
$-$ 0.8 $\Delta $o
D.
$-$ 1.6 $\Delta $o
2013 NEET MCQ
NEET 2013 (Karnataka)
The correct IUPAC name for [CrF2(en)2]Cl is
A.
chloro difluorido ethylene diaminechromium (III) chloride
B.
difluoridobis (ethylene diamine) chromium (III) chloride
C.
difluorobis-(ethylene diamine) chromium (III) chloride
D.
chloro difluoridobis (ethylene diamine) chromium (III)
2013 NEET MCQ
NEET 2013 (Karnataka)
Which among the following is a paramagnetic complex?
A.
[Co(NH3)6]3+
B.
[Pt(en)Cl2]
C.
[CoBr4]$2-$
D.
Mo(CO)6
2013 NEET MCQ
NEET 2013 (Karnataka)
In a particular isomer of [Co(NH3)4Cl2]o, the Cl$-$Co$-$Cl angle is 90o, this isomer is known as
A.
optical isomer
B.
cis-isomer
C.
position isomer
D.
linkage isomer.
2013 NEET MCQ
NEET 2013
A magnetic moment at 1.73 BM will be shown by one among of the following
A.
TiCl4
B.
[CoCl6]4$-$
C.
[Cu(NH3)4]2+
D.
[Ni(CN)4]2$-$