The major product D formed in the following reaction sequence is :


Which one of the following alcohols reacts instantaneously with Lucas reagent?
The products $\mathrm{A}$ and $\mathrm{B}$ obtained in the following reactions, respectively, are
$\begin{aligned} & 3 \mathrm{ROH}+\mathrm{PCl}_3 \rightarrow 3 \mathrm{RCl}+\mathrm{A} \\ & \mathrm{ROH}+\mathrm{PCl}_5 \rightarrow \mathrm{RCl}+\mathrm{HCl}+\mathrm{B} \end{aligned}$
Major products A and B formed in the following reaction sequence, are

Consider the following reaction and identify the product (P).

Consider the following reaction

Identify products A and B :-
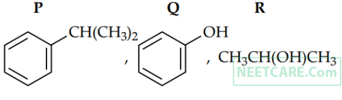
Which amongst the following will be most readily dehydrated under acidic conditions?
Match the reagents (List-I) with the product (List-II) obtained from phenol.
| List-I |
List-II |
||
|---|---|---|---|
| (a) | (i) NaOH (ii) CO$_2$ (iii) H$^ + $ | (i) | Benzoquinone |
| (b) | (i) Aqueous NaOH + CHCl$_3$ (ii) H$^ + $ | (ii) | Benzene |
| (c) | Zn dust, $\Delta$ | (iii) | Salicyl aldehyde |
| (d) | Na$_2$Cr$_2$O$_7$, H$_2$SO$_4$ | (iv) | Salicylic acid |
Choose the correct answer from the options given below :
Which one of the following reaction sequence is incorrect method to prepare phenol?
Given below are two statements:
Statement I: The acidic strength of monosubstituted nitrophenol is higher than phenol because of electron withdrawing nitro group.
Statement II : o-nitrophenol, m-nitrophenol and p-nitrophenol will have same acidic strength as they have one nitro group attached to the phenolic ring.
In the light of the above statements, choose the most appropriate answer from the options given below :
Given below are two statements:
Statement I : In Lucas test, primary, secondary and tertiary alcohols are distinguished on the basis of their reactivity with conc. HCl + ZnCl2, known as Lucas Reagent.
Statement II : Primary alcohols are most reactive and immediately produce turbidity at room temperature on reaction with Lucas Reagent.
In the light of the above statements, choose the most appropriate answer from the options given below:




the electrophile involved is

can be classified as


is called

the end product (C) is

the major products (A) and (C) are respectively




| List I (Compounds) |
List II (Reactions) |
||
|---|---|---|---|
| A. | CH3(CH2)3NH2 | (i) | Alkaline hydrolysis |
| B. | CH3C$ \equiv $CH | (ii) | With KOH (alcohol) and CHCl3 produces bad smell |
| C. | CH3CH2COOCH3 | (iii) | Gives white ppt. with ammoniacal AgNO3 |
| D. | CH3CH(OH)CH3 | (iv) | With Lucas reagent cloudiness appears after 5 minutes |

Which of the above compound(s), on being warmed with iodine solution and NaOH, will give iodoform?
(i) Phenol
(ii) Methyl phenol
(iii) Meta-nitrophenol
(iv) Para-nitrophenol
The acidity order is

the product Z is

the product Z is

Which of the following compounds will be formed?



CH3 $-$ O $-$ CH(CH3)2 + HI $ \to $ products




















