For the following circuit and given inputs A and B, choose the correct option for output '$Y$'

In an n-p-n common emitter (CE) transistor the collector current changes from 5 $\mathrm{mA}$ to $16 \mathrm{~mA}$ for the change in base current from $100~ \mu \mathrm{A}$ and $200 ~\mu \mathrm{A}$, respectively. The current gain of transistor is __________.
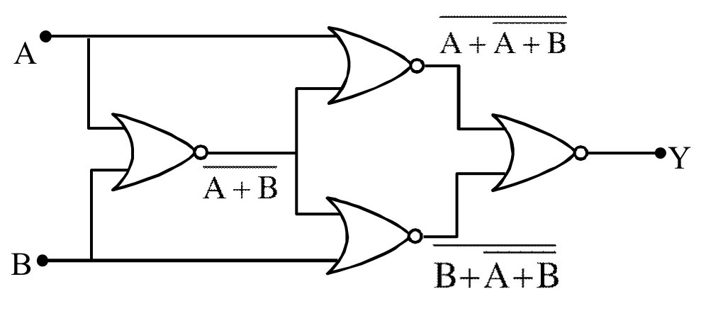
The logic operations performed by the given digital circuit is equivalent to:

The logic performed by the circuit shown in figure is equivalent to :

If each diode has a forward bias resistance of $25 ~\Omega$ in the below circuit,

Which of the following options is correct :
A zener diode of power rating 1.6 W is to be used as voltage regulator. If the zener diode has a breakdown of 8V and it has to regulate voltage fluctuating between 3 V and 10 V. The value of resistance Rs for safe operation of diode will be

For a given transistor amplifier circuit in $\mathrm{CE}$ configuration $\mathrm{V}_{\mathrm{CC}}=1 \mathrm{~V}, \mathrm{R}_{\mathrm{C}}=1 ~\mathrm{k} \Omega, \mathrm{R}_{\mathrm{b}}=100 ~\mathrm{k} \Omega$ and $\beta=100$. Value of base current $\mathrm{I}_{\mathrm{b}}$ is

For the logic circuit shown, the output waveform at $\mathrm{Y}$ is:

Given below are two statements: one is labelled as Assertion A and the other is labelled as Reason R
Assertion A: Diffusion current in a p-n junction is greater than the drift current in magnitude if the junction is forward biased.
Reason R: Diffusion current in a p-n junction is from the $\mathrm{n}$-side to the p-side if the junction is forward biased.
In the light of the above statements, choose the most appropriate answer from the options given below
Name the logic gate equivalent to the diagram attached

The resistivity $(\rho)$ of semiconductor varies with temperature. Which of the following curve represents the correct behaviour :
Choose the correct statement about Zener diode :
Match List I with List II:
| List I | List II | ||
|---|---|---|---|
| A. | Intrinsic semiconductor | I. | Fermi-level near the valence bond |
| B. | n-type semiconductor | II. | Fermi-level in the middle of valence and conduction band. |
| C. | p-type semiconductor | III. | Fermi-level near the conduction band |
| D. | Metals | IV. | Fermi-level inside the conduction band |
Choose the correct answer from the options given below :
Given below are two statements :
Statement I: In a typical transistor, all three regions emitter, base and collector have same doping level.
Statement II: In a transistor, collector is the thickest and base is the thinnest segment.
In the light of the above statements, choose the most appropriate answer from the options given below.
The effect of increase in temperature on the number of electrons in conduction band ($\mathrm{n_e}$) and resistance of a semiconductor will be as:
The output $Y$ for the inputs $A$ and $B$ of circuit is given by

Truth table of the shown circuit is:
The output waveform of the given logical circuit for the following inputs A and B as shown below, is :

For the given logic gates combination, the correct truth table will be

Which one of the following statement is not correct in the case of light emitting diodes?
A. It is a heavily doped p-n junction.
B. It emits light only when it is forward biased.
C. It emits light only when it is reverse biased.
D. The energy of the light emitted is equal to or slightly less than the energy gap of the semiconductor used.
Choose the correct answer from the options given below:
Statement I : When a Si sample is doped with Boron, it becomes P type and when doped by Arsenic it becomes N-type semi conductor such that P-type has excess holes and N-type has excess electrons.
Statement II : When such P-type and N-type semi-conductors, are fused to make a junction, a current will automatically flow which can be detected with an externally connected ameter.
In the light of above statements, choose the most appropriate answer from the options given below
Given below are two statements : one is labelled as Assertion A and the other is labelled as Reason R
Assertion A : Photodiodes are used in forward bias usually for measuring the light intensity.
Reason R : For a p-n junction diode, at applied voltage V the current in the forward bias is more than the current in the reverse bias for $\mathrm{|{V_z}| > \pm v \ge |{v_0}|}$ where $\mathrm{v_0}$ is the threshold voltage and $\mathrm{V_z}$ is the breakdown voltage.
In the light of the above statements, choose the correct answer from the options given below

The logic gate equivalent to the given circuit diagram is :
Given below are two statements : one is labelled as Assertion A and the other is labelled as Reason R
Assertion A : Photodiodes are preferably operated in reverse bias condition for light intensity measurement.
Reason R : The current in the forward bias is more than the current in the reverse bias for a $p-n$ junction diode.
In the light of the above statements, choose the correct answer from the options given below :
An n.p.n transistor with current gain $\beta=100$ in common emitter configuration is shown in figure. The output voltage of the amplifier will be

Identify the solar cell characteristics from the following options :
For a constant collector-emitter voltage of $8 \mathrm{~V}$, the collector current of a transistor reached to the value of $6 \mathrm{~mA}$ from $4 \mathrm{~mA}$, whereas base current changed from $20 \,\mu \mathrm{A}$ to $25 \,\mu \mathrm{A}$ value. If transistor is in active state, small signal current gain (current amplification factor) will be :
A logic gate circuit has two inputs A and B and output Y. The voltage waveforms of A, B and Y are shown below.

The logic gate circuit is :
In the circuit, the logical value of $A=1$ or $B=1$ when potential at $A$ or $B$ is $5 \mathrm{~V}$ and the logical value of $A=0$ or $B=0$ when potential at $A$ or $B$ is $0 \mathrm{~V}$.

The truth table of the given circuit will be :
In the given circuit the input voltage Vin is shown in figure. The cut-in voltage of p-n junction diode (D1 or D2) is 0.6 V. Which of the following output voltage (V0) waveform across the diode is correct?
In the following circuit, the correct relation between output (Y) and inputs A and B will be :

For using a multimeter to identify diode from electrical components, choose the correct statement out of the following about the diode :
Given below are two statements : One is labelled as Assertion A and the other is labelled as Reason R.
Assertion A : n-p-n transistor permits more current than a p-n-p transistor.
Reason R : Electrons have greater mobility as a charge carrier.
Choose the correct answer from the options given below :
For a transistor to act as a switch, it must be operated in
Identify the correct Logic Gate for the following output (Y) of two inputs A and B.
The positive feedback is required by an amplifier to act an oscillator. The feedback here means :
The I-V characteristics of a p-n junction diode in forward bias is shown in the figure. The ratio of dynamic resistance, corresponding to forward bias voltage of 2 V and 4 V respectively, is :

Identify the logic operation performed by the given circuit:

The photodiode is used to detect the optical signals. These diodes are preferably operated in reverse biased mode because :

To get a steady dc output from the pulsating voltage received from a full wave rectifier we can connect a capacitor across the output parallel to the load RL.
Statement - II :
To get a steady dc output from the pulsating voltage received from a full wave rectifier we can connect an inductor in series with RL.
In the light of the above statements, choose the most appropriate answer from the options given below :
Statement II : The n-type semiconductor has net negative charge.
In the light of the above statements, choose the most appropriate answer from the options given below :











