Let $\mathbb{R}$ denote the set of all real numbers. Let $f: \mathbb{R} \rightarrow \mathbb{R}$ and $g: \mathbb{R} \rightarrow(0,4)$ be functions defined by
$ f(x)=\log _e\left(x^2+2 x+4\right), \text { and } g(x)=\frac{4}{1+e^{-2 x}} $
Define the composite function $f \circ g^{-1}$ by $\left(f \circ g^{-1}\right)(x)=f\left(g^{-1}(x)\right)$, where $g^{-1}$ is the inverse of the function $g$.
Then the value of the derivative of the composite function $f \circ g^{-1}$ at $x=2$ is ________________.
Explanation:
Function $ f $:
$ f(x) = \log_e\left(x^2 + 2x + 4\right) = \log_e\left[(x+1)^2 + 3\right] $
Function $ g $:
$ g(x) = \frac{4}{1 + e^{-2x}} $
To find the inverse of $ g $, $ g^{-1} $, we solve for $ x $:
Start with $ y = \frac{4}{1 + e^{-2x}} $.
Rearranging gives $ 1 + e^{-2x} = \frac{4}{y} $.
Solving for $ e^{-2x} $, we have $ e^{-2x} = \frac{4}{y} - 1 $.
Taking the natural logarithm, we find $ -2x = \ln\left(\frac{4}{y} - 1\right) $.
Thus, we solve for $ x $:
$ x = -\frac{1}{2} \ln\left(\frac{4-y}{y}\right) = \frac{1}{2} \ln\left(\frac{y}{4-y}\right) $
So, the inverse function:
$ g^{-1}(x) = \frac{1}{2} \ln\left(\frac{x}{4-x}\right) $
Now, let's evaluate $ g^{-1}(2) $:
$ g^{-1}(2) = \frac{1}{2} \ln\left(\frac{2}{4-2}\right) = \frac{1}{2} \ln(1) = 0 $
Thus, $ f(g^{-1}(x)) = f\left(\frac{1}{2} \ln\left(\frac{x}{4-x}\right)\right) $.
Next, we differentiate $ f \circ g^{-1} $:
$ \frac{d}{dx}\left(f(g^{-1}(x))\right) = \frac{d}{dx}\left[\log_e\left(\left(g^{-1}(x) + 1\right)^2 + 3\right)\right] $
Using the chain rule, the derivative is:
$ \frac{1}{\left[\left(g^{-1}(x) + 1\right)^2 + 3\right]} \cdot 2 \left(g^{-1}(x) + 1\right) \cdot \frac{d}{dx}\left(g^{-1}(x)\right) $
Calculate the derivative of $ g^{-1}(x) $:
$ \frac{d}{dx}\left(\frac{1}{2} \ln\left(\frac{x}{4-x}\right)\right) = \frac{1}{2} \cdot \frac{1}{\frac{x}{4-x}} \cdot \left(\frac{(4-x)x' + x(4-x)'}{(4-x)^2}\right) $
Evaluate at $ x = 2 $:
$ g^{-1}(2) = 0 $ means $ \left(g^{-1}(2) + 1\right)^2 + 3 = 4 $.
At $ x = 2 $:
$ \frac{d}{dx} f(g^{-1}(x))\big|_{x=2} = \frac{2}{4} \cdot \frac{2}{4} = \frac{1}{4} = 0.25 $
Therefore, the value of the derivative of the composite function $ f \circ g^{-1} $ at $ x = 2 $ is $ 0.25 $.
Let ℝ denote the set of all real numbers. Let f: ℝ → ℝ be a function such that f(x) > 0 for all x ∈ ℝ, and f(x+y) = f(x)f(y) for all x, y ∈ ℝ.
Let the real numbers a₁, a₂, ..., a₅₀ be in an arithmetic progression. If f(a₃₁) = 64f(a₂₅), and
$ \sum\limits_{i=1}^{50} f(a_i) = 3(2^{25}+1), $
then the value of
$ \sum\limits_{i=6}^{30} f(a_i) $
is ________________.
Explanation:
$\begin{aligned} & \mathrm{f}(\mathrm{x}+\mathrm{y})=\mathrm{f}(\mathrm{x})+\mathrm{f}(\mathrm{y}) \quad \text{... (1)}\\ & \Rightarrow \quad \mathrm{f}(\mathrm{nx})=\operatorname{nf}(\mathrm{x}) \forall \mathrm{n} \in \mathrm{N} \quad \text{... (2)} \end{aligned}$
$ \begin{array}{ll} \text { Now } & \text { put } \mathrm{y}=-\mathrm{x} \text { in eq.(1) } \\ & \mathrm{f}(\mathrm{x})+\mathrm{f}(-\mathrm{x})=\mathrm{f}(0) \quad\{\mathrm{f}(0)=0\} \\ \Rightarrow \quad & \mathrm{f}(-\mathrm{x})=-\mathrm{f}(\mathrm{x}) \\ \Rightarrow \quad & \mathrm{f} \text { is odd function } \\ & \text { from eq. (2) } \\ & \mathrm{f}(-\mathrm{nx})=\mathrm{nf}(-\mathrm{x}) \\ \Rightarrow \quad & \mathrm{f}(-\mathrm{nx})=-\mathrm{nf}(\mathrm{x}) \\ \Rightarrow \quad & \mathrm{f}(\mathrm{mx})=\operatorname{mf}(\mathrm{x}) \forall \mathrm{m} \in \mathrm{Z}^{-} \quad \text{... (3)}\\ & \text {from eq. (2) and eq. (3) } \\ & \mathrm{f}(\mathrm{nx})=\mathrm{nf}(\mathrm{x}) \forall \mathrm{n} \in \mathrm{Z} \quad \text{... (4)} \end{array}$
$\begin{aligned} \text { Now } & \text { put } x=\frac{p}{q} \text { where } p, q \in Z, q \neq 0 \\ f\left(\frac{n p}{q}\right) & =n f\left(\frac{p}{q}\right) \forall n \in Z \\ \text { put } n & =q \\ & f(p)=q f\left(\frac{p}{q}\right) \end{aligned}$
$\Rightarrow \quad \mathrm{pf}(1)=\mathrm{qf}\left(\frac{\mathrm{p}}{\mathrm{q}}\right) \quad \{\text{from eq.(4)}\}$
Let $f(1)=a$
$\begin{array}{ll} \text { then } \quad & \mathrm{pa}=\mathrm{qf}\left(\frac{\mathrm{p}}{\mathrm{q}}\right) \\ & \mathrm{f}\left(\frac{\mathrm{p}}{\mathrm{q}}\right)=\frac{\mathrm{ap}}{\mathrm{q}} \\ \Rightarrow \quad & \mathrm{f}(\mathrm{x})=\mathrm{ax} \forall \mathrm{x} \in \mathbb{Q} \end{array}$
Now, $f\left(\frac{-3}{5}\right)=a\left(\frac{-3}{5}\right)=12 \Rightarrow a=-20$
$\Rightarrow \quad \mathrm{f}(\mathrm{x})=-20 \mathrm{x} \forall \mathrm{x} \in \mathbb{Q} \quad \text{... (5)}$
From the given functional equation it is not possible to find a unique function for irrational values of '$x$', there are infinitely many such functions satisfying given functional equation for irrational values of $x$, but in this problem we finally need the function at rational values of '$x$' only. So, for rational values of $x$ we are getting a unique function mentioned in (5).
Now, $g(x+y)=g(x) \cdot g(y)$
$\begin{array}{ll} \Rightarrow & \ln (\mathrm{g}(\mathrm{x}+\mathrm{y})=\ln (\mathrm{g}(\mathrm{x}))+\ln (\mathrm{g}(\mathrm{y})) \\ \text { Let } & \ln (\mathrm{g}(\mathrm{x}))=\mathrm{h}(\mathrm{x}) \\ \Rightarrow & \mathrm{h}(\mathrm{x}+\mathrm{y})=\mathrm{h}(\mathrm{x})+\mathrm{h}(\mathrm{y}) \\ \Rightarrow & \mathrm{h}(\mathrm{x})=\mathrm{kx} \forall \mathrm{x} \in \mathbb{Q} \\ \Rightarrow & \mathrm{g}(\mathrm{x})=\mathrm{e}^{\mathrm{kx}} \forall \mathrm{x} \in \mathbb{Q} \quad \text{... (6)} \end{array}$
$\begin{aligned} & \text { and } \quad \mathrm{g}\left(\frac{-1}{3}\right)=\mathrm{e}^{-\frac{\mathrm{K}}{3}}=2 \quad \Rightarrow \quad \mathrm{K}=-3 \ln 2 \\ & \Rightarrow \quad \mathrm{K}=\ln \left(\frac{1}{8}\right) \\ & \Rightarrow \quad \mathrm{g}(\mathrm{x})=\mathrm{e}^{\ln \left(\frac{1}{8}\right) \cdot \mathrm{x}}=\left(\frac{1}{8}\right)^x=2^{-3 \mathrm{x}} \forall \mathrm{x} \in \mathbb{Q} \end{aligned}$
Now, $f\left(\frac{1}{4}\right)=-5, g(-2)=2^6=64$
$\mathrm{g}(0)=1$
$\begin{aligned} \text{So} \quad & \left(\mathrm{f}\left(\frac{1}{4}\right)+\mathrm{g}(-2)-(8) \mathrm{g}(0)\right) \\ & =(-5+64-8)(1)=51 \end{aligned}$
Let the function $f: \mathbb{R} \rightarrow \mathbb{R}$ be defined by
$ f(x)=\frac{\sin x}{e^{\pi x}} \frac{\left(x^{2023}+2024 x+2025\right)}{\left(x^2-x+3\right)}+\frac{2}{e^{\pi x}} \frac{\left(x^{2023}+2024 x+2025\right)}{\left(x^2-x+3\right)} . $
Then the number of solutions of $f(x)=0$ in $\mathbb{R}$ is _________.
Explanation:
$\begin{aligned} & \mathrm{f}(\mathrm{x})=\frac{\left(\mathrm{x}^{2023}+2024 \mathrm{x}+2025\right)}{\mathrm{e}^{\pi \mathrm{x}}\left(\mathrm{x}^2-\mathrm{x}+3\right)}(\sin \mathrm{x}+2) \\ & \because(\sin \mathrm{x}+2) \text { is never zero } \\ & \therefore \text { for } \mathrm{x}^{2223}+2024 \mathrm{x}+2025=0 \\ & \text { let } \phi(\mathrm{x})=\mathrm{x}^{2023}+2024 \mathrm{x}+2025 \\ & \phi^{\prime}(\mathrm{x})=2023 \mathrm{x}^{2022}+2024>0 \forall \mathrm{x} \in \mathrm{R} \\ & \therefore \phi(\mathrm{x}) \text { is an Strictly Increasing function } \\ & \therefore \phi(\mathrm{x})=0 \text { for exactly one value of } \mathrm{x} \\ & \therefore \mathrm{f}(\mathrm{x})=0 \text { has one solution } \end{aligned}$
$f(x) = {{{4^x}} \over {{4^x} + 2}}$
Then the value of $f\left( {{1 \over {40}}} \right) + f\left( {{2 \over {40}}} \right) + f\left( {{3 \over {40}}} \right) + ... + f\left( {{{39} \over {40}}} \right) - f\left( {{1 \over 2}} \right)$ is ..........
Explanation:
$f(x) = {{{4^x}} \over {{4^x} + 2}}$
$ \because $ $f(1 - x) = {{{4^{1 - x}}} \over {{4^{1 - x}} + 2}} = {2 \over {2 + {4^x}}}$
$ \therefore $ $f(x) + f(1 - x) = {{{4^x}} \over {{4^x} + 2}} + {2 \over {2 + {4^x}}}$
$ = {{{4^x} + 2} \over {{4^x} + 2}}$
So, f(x) + f(1 $-$ x) = 1 .....(i)
$ \therefore $ $f\left( {{1 \over {40}}} \right) + f\left( {{2 \over {40}}} \right) + f\left( {{3 \over {40}}} \right) + ... + f\left( {{{39} \over {40}}} \right) - f\left( {{1 \over 2}} \right)$
$ = \left[ {f\left( {{1 \over {40}}} \right) + f\left( {{{39} \over {40}}} \right)} \right] + \left[ {f\left( {{2 \over {40}}} \right) + f\left( {{{38} \over {40}}} \right)} \right] + ... + \left[ {f\left( {{{18} \over {40}}} \right) + f\left( {{{22} \over {40}}} \right)} \right] + \left[ {f\left( {{{19} \over {40}}} \right) + f\left( {{{21} \over {40}}} \right)} \right] + \left[ {f\left( {{{20} \over {40}}} \right) - f\left( {{1 \over 2}} \right)} \right]$
$ = \{ 1 + 1 + ... + 1 + 1\} + f\left( {{1 \over 2}} \right) - f\left( {{1 \over 2}} \right)$
$ = \{ 1 + 1 + ... + 1 + 1\}$(19 times) {from Eq. (i)}
= 19.
Suppose the function f has a local minimum at $\theta $ precisely when $\theta \in \{ {\lambda _1}\pi ,....,{\lambda _r}\pi \} $, where $0 < {\lambda _1} < ...{\lambda _r} < 1$. Then the value of ${\lambda _1} + ... + {\lambda _r}$ is .............
Explanation:
$f(\theta ) = {(\sin \theta + \cos \theta )^2} + {(\sin \theta - \cos \theta )^4}$
$ = 1 + \sin 2\theta + {(1 - \sin 2\theta )^2}$
$ = 1 + \sin 2\theta + 1 + {\sin ^2}2\theta - 2\sin 2\theta $
$ = {\sin ^2}2\theta - \sin 2\theta + 2$
$ = {\left( {\sin 2\theta - {1 \over 2}} \right)^2} + {7 \over 4}$
The local minimum of function 'f' occurs when
$\sin 2\theta = {1 \over 2}$
$ \Rightarrow 2\theta = {\pi \over 6},\,{{5\pi } \over 6},\,{{13\pi } \over 6},\,...$
$ \Rightarrow \theta = {\pi \over {12}},\,{{5\pi } \over {12}},\,{{13\pi } \over {12}},\,...$
but $\theta \in \{ {\lambda _1}\pi ,\,{\lambda _2}\pi ,\,...,\,{\lambda _r}\pi \} $,
where $0 < {\lambda _1} < .... < {\lambda _r} < 1$.
$ \therefore $ $\theta = {\pi \over {12}},\,{{5\pi } \over {12}}$
So, ${\lambda _1} + ... + {\lambda _r} = {1 \over {12}} + {5 \over {12}} = 0.50$
$f(x) = (3 - \sin (2\pi x))\sin \left( {\pi x - {\pi \over 4}} \right) - \sin \left( {3\pi x + {\pi \over 4}} \right)$
If $\alpha ,\,\beta \in [0,2]$ are such that $\{ x \in [0,2]:f(x) \ge 0\} = [\alpha ,\beta ]$, then the value of $\beta - \alpha $ is ..........
Explanation:
$f(x) = (3 - \sin (2\pi x))\sin \left( {\pi x - {\pi \over 4}} \right) - \sin \left( {3\pi x + {\pi \over 4}} \right)$
$ = (3 - \sin (2\pi x))\left[ {{{\sin \pi x} \over {\sqrt 2 }} - {{\cos \pi x} \over {\sqrt 2 }}} \right] - \left\{ {{{\sin 3\pi x} \over {\sqrt 2 }} + {{\cos (3\pi x)} \over {\sqrt 2 }}} \right\}$
$ = (3 - \sin (2\pi x)){{[\sin (\pi x) - \cos (\pi x)} \over {\sqrt 2 }} - {1 \over {\sqrt 2 }}[3\sin (\pi x) - 4{\sin ^3}(\pi x) + 4{\cos ^3}(\pi x) - 3\cos (\pi x)]$
$ = {{\sin (\pi x) - \cos (\pi x)} \over {\sqrt 2 }}[3 - \sin (2\pi x) - 3 + 4\{ {\sin ^2}(\pi x) + {\cos ^2}(\pi x) + \sin (\pi x)\cos (\pi x)\} ]$
$ = {{\sin (\pi x) - \cos (\pi x)} \over {\sqrt 2 }}[4 + \sin (2\pi x)]$
As, $f(x) \ge 0\forall \in [\alpha ,\beta ]$, where $\alpha ,\beta \in [0,2]$, so
$\sin (\pi x) - \cos (\pi x) \ge 0$
as $4 + \sin (2\pi x) > 0\,\forall x \in R$.
$ \Rightarrow \pi x \in \left[ {{\pi \over 4},{{5\pi } \over 4}} \right] \Rightarrow x \in \left[ {{1 \over 4},{5 \over 4}} \right]$
$ \therefore $ $\alpha = {1 \over 4}$ and $\beta = {5 \over 4}$
Therefore the value of $(\beta - \alpha ) = 1$
$S = \{ {({x^2} - 1)^2}({a_0} + {a_1}x + {a_2}{x^2} + {a_3}{x^3}):{a_0},{a_1},{a_2},{a_3} \in R\} $;
For a polynomial f, let f' and f'' denote its first and second order derivatives, respectively. Then the minimum possible value of (mf' + mf''), where f $ \in $ S, is ..............
Explanation:
$S = \{ {({x^2} - 1)^2}({a_0} + {a_1}x + {a_2}{x^2} + {a_3}{x^3}):{a_0},{a_1},{a_2},{a_3} \in R\} $
and for a polynomial $f \in S$, Let
$f(x) = {({x^2} - 1)^2}({a_0} + {a_1}x + {a_2}{x^2} + {a_3}{x^3})$
it have $-$1 and 1 as repeated roots twice, so graph of f(x) touches the X-axis at x = $-$1 and x = 1, so f'(x) having at least three roots x = $-$1, 1 and $\alpha $. Where $\alpha $$ \in $($-$1, 1) and f''(x) having at least two roots in interval ($-$1, 1)
So, mf' = 3 and mf'' = 2
$ \therefore $ Minimum possible value of (mf' + mf'') = 5
Explanation:
$ \therefore $ n(X) = 5
and n(Y) = 7
Now, number of one-one functions from X to Y is
$\alpha = {}^7{P_5} = {}^7{C_5} \times 5!$
Number of onto functions from Y to X is $\beta $

1, 1, 1, 1, 3 or 1, 1, 1, 2, 2
$ \therefore $ $\beta = {{7!} \over {3!4!}} \times 5! + {{7!} \over {{{(2!)}^3}3!}} \times 5!$
$ = ({}^7{C_3} + 3{}^7{C_3})5! = 4 \times {}^7{C_3} \times 5!$
$ \therefore $ ${{\beta - \alpha } \over {5!}} = {{(4 \times {}^7{C_3} - {}^7{C_5})5!} \over {5!}}$
$ = 4 \times 35 - 21 = 140 - 21 = 119$
If the function $f(x) = {x^3} + {e^{x/2}}$ and $g(x) = {f^{ - 1}}(x)$, then the value of $g'(1)$ is _________.
Explanation:
We have $f(0) = 1,f'(x) = 3{x^2} + {1 \over 2}{e^{x/2}}$
$ \Rightarrow f'(g(x))g'(x) = 1$
Substituting $x = 0 \Rightarrow g'(1) = {1 \over {f'(0)}} = 2$.
Let ℕ denote the set of all natural numbers, and ℤ denote the set of all integers. Consider the functions f: ℕ → ℤ and g: ℤ → ℕ defined by
$ f(n) = \begin{cases} \frac{(n + 1)}{2} & \text{if } n \text{ is odd,} \\ \frac{(4-n)}{2} & \text{if } n \text{ is even,} \end{cases} $
and
$ g(n) = \begin{cases} 3 + 2n & \text{if } n \ge 0 , \\ -2n & \text{if } n < 0 . \end{cases} $
Define $(g \circ f)(n) = g(f(n))$ for all $n \in \mathbb{N}$, and $(f \circ g)(n) = f(g(n))$ for all $n \in \mathbb{Z}$.
Then which of the following statements is (are) TRUE?
g $\circ $ f is NOT one-one and g $\circ $ f is NOT onto
f $\circ $ g is NOT one-one but f $\circ $ g is onto
g is one-one and g is onto
f is NOT one-one but f is onto
Let $|M|$ denote the determinant of a square matrix $M$. Let $g:\left[0, \frac{\pi}{2}\right] \rightarrow \mathbb{R}$ be the function defined by
$ g(\theta)=\sqrt{f(\theta)-1}+\sqrt{f\left(\frac{\pi}{2}-\theta\right)-1} $
where
$ f(\theta)=\frac{1}{2}\left|\begin{array}{ccc} 1 & \sin \theta & 1 \\ -\sin \theta & 1 & \sin \theta \\ -1 & -\sin \theta & 1 \end{array}\right|+\left|\begin{array}{ccc} \sin \pi & \cos \left(\theta+\frac{\pi}{4}\right) & \tan \left(\theta-\frac{\pi}{4}\right) \\ \sin \left(\theta-\frac{\pi}{4}\right) & -\cos \frac{\pi}{2} & \log _{e}\left(\frac{4}{\pi}\right) \\ \cot \left(\theta+\frac{\pi}{4}\right) & \log _{e}\left(\frac{\pi}{4}\right) & \tan \pi \end{array}\right| . $
Let $p(x)$ be a quadratic polynomial whose roots are the maximum and minimum values of the function $g(\theta)$, and $p(2)=2-\sqrt{2}$. Then, which of the following is/are TRUE ?
Let $f(x) = \sin \left( {{\pi \over 6}\sin \left( {{\pi \over 2}\sin x} \right)} \right)$ for all $x \in R$ and g(x) = ${{\pi \over 2}\sin x}$ for all x$\in$R. Let $(f \circ g)(x)$ denote f(g(x)) and $(g \circ f)(x)$ denote g(f(x)). Then which of the following is/are true?
Let $f:( - 1,1) \to R$ be such that $f(\cos 4\theta ) = {2 \over {2 - {{\sec }^2}\theta }}$ for $\theta \in \left( {0,{\pi \over 4}} \right) \cup \left( {{\pi \over 4},{\pi \over 2}} \right)$. Then the value(s) of $f\left( {{1 \over 3}} \right)$ is(are)
Let $f:(0,1) \to R$ be defined by $f(x) = {{b - x} \over {1 - bx}}$, where b is a constant such that $0 < b < 1$. Then
${E_2} = \left\{ \matrix{ x \in {E_1}:{\sin ^{ - 1}}\left( {{{\log }_e}\left( {{x \over {x - 1}}} \right)} \right) \hfill \cr is\,a\,real\,number \hfill \cr} \right\}$
(Here, the inverse trigonometric function ${\sin ^{ - 1}}$ x assumes values in $\left[ { - {\pi \over 2},{\pi \over 2}} \right]$.).
Let f : E1 $ \to $ R be the function defined by f(x) = ${{{\log }_e}\left( {{x \over {x - 1}}} \right)}$ and g : E2 $ \to $ R be the function defined by g(x) = ${\sin ^{ - 1}}\left( {{{\log }_e}\left( {{x \over {x - 1}}} \right)} \right)$.
| LIST-I | LIST-II |
|---|---|
| P. The range of $f$ is | 1. $\left( -\infty, \frac{1}{1-e} \right] \cup \left[ \frac{e}{e-1}, \infty \right)$ |
| Q. The range of $g$ contains | 2. $(0, 1)$ |
| R. The domain of $f$ contains | 3. $\left[ -\frac{1}{2}, \frac{1}{2} \right]$ |
| S. The domain of $g$ is | 4. $(-\infty, 0) \cup (0, \infty)$ |
| 5. $\left( -\infty, \frac{e}{e-1} \right)$ | |
| 6. $(-\infty, 0) \cup \left( \frac{1}{2}, \frac{e}{e-1} \right]$ |
${f_1}\left( x \right) = \left\{ {\matrix{ {\left| x \right|} & {if\,x < 0,} \cr {{e^x}} & {if\,x \ge 0;} \cr } } \right.$
f2(x) = x2 ;
${f_3}\left( x \right) = \left\{ {\matrix{ {\sin x} & {if\,x < 0,} \cr x & {if\,x \ge 0;} \cr } } \right.$and
${f_4}\left( x \right) = \left\{ {\matrix{ {{f_2}\left( {{f_1}\left( x \right)} \right)} & {if\,x < 0,} \cr {{f_2}\left( {{f_1}\left( x \right)} \right) - 1} & {if\,x \ge 0;} \cr } } \right.$
The function $f:[0,3] \to [1,29]$, defined by $f(x) = 2{x^3} - 15{x^2} + 36x + 1$, is
Let f(x) = x2 and g(x) = sin x for all x $\in$ R. Then the set of all x satisfying $(f \circ g \circ g \circ f)(x) = (g \circ g \circ f)(x)$, where $(f \circ g)(x) = f(g(x))$, is
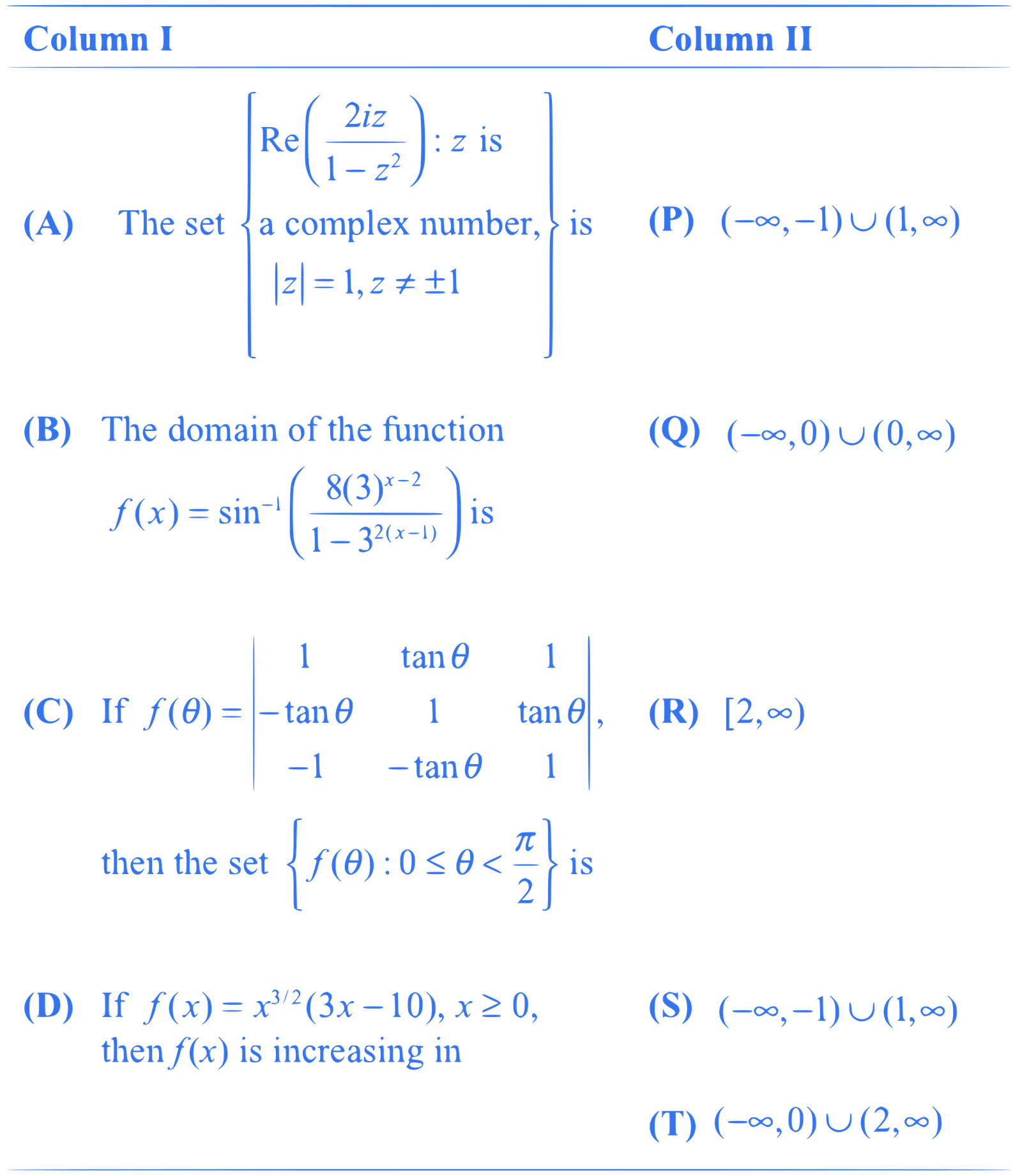
Match the statements given in Column I with the intervals/union of intervals given in Column II :

Consider the polynomial
$f\left( x \right) = 1 + 2x + 3{x^2} + 4{x^3}.$
Let $s$ be the sum of all distinct real roots of $f(x)$ and let $t = \left| s \right|.$
The real numbers lies in the interval
Consider the polynomial
$f\left( x \right) = 1 + 2x + 3{x^2} + 4{x^3}.$
Let $s$ be the sum of all distinct real roots of $f(x)$ and let $t = \left| s \right|.$
The function$f'(x)$ is
Let $f, g$ and $h$ be real valued functions defined on the interval $[0,1]$ by
$f(x)=e^{x^2}+e^{-x^2}$,
$g(x)=x e^{x^2}+e^{-x^2}$
and $h(x)=x^2 e^{x^2}+e^{-x^2}$.
If $a, b$ and $c$ denote, respectively, the absolute maximum of $f, g$ and $h$ on $[0,1]$, then :
If $f''(x)=-f(x)$ and $g(x)=f'(x)$ and $\mathrm{F}(x)=\left(f\left(\frac{x}{2}\right)\right)^{2}+\left(g\left(\frac{x}{2}\right)\right)^{2}$ and given that $\mathrm{F}(5)=5$, then $\mathrm{F}(10)$ is equal to :
Find the range of value of $t$ for which
$2 \sin t=\frac{1-2 x+5 x^{2}}{3 x^{2}-2 x-1}, t \in\left[-\frac{\pi}{2}, \frac{\pi}{2}\right]$








